I need a plotter for a system of hyperbolic equations

  • Thread starter Thread starter barryj
  • Start date Start date
  • Tags Tags
    Hyperbolic System
Click For Summary
SUMMARY

This discussion focuses on the need for a plotting program capable of illustrating hyperbolic navigation through the plotting of two hyperbolic equations and solving their intersection without converting the equations into function form. The user specifically mentions the application of LORAN technology as a prime example of hyperbolic navigation. Additionally, the conversation touches on the use of time difference of arrival (TDOA) methods in urban settings for locating gunshots, which also relies on hyperbolic principles.

PREREQUISITES
  • Understanding of hyperbolic equations and their graphical representation
  • Familiarity with hyperbolic navigation concepts, particularly LORAN
  • Knowledge of intersection solving techniques for equations
  • Basic skills in using mathematical plotting software
NEXT STEPS
  • Research software options for plotting hyperbolic equations, such as GeoGebra or Desmos
  • Learn about the mathematical principles behind LORAN navigation
  • Explore time difference of arrival (TDOA) methods for sound localization
  • Study techniques for solving intersections of non-function form equations
USEFUL FOR

This discussion is beneficial for mathematicians, engineers, and developers interested in hyperbolic navigation systems, as well as anyone involved in sound localization technologies.

barryj
Messages
856
Reaction score
51
I am trying to illustrate how hyperbolic navigation works. In the process, I need a program that will plot two hyperbolic equations and solve their intersection. I would rather not have to change the equation into function form if possible. I know that the plots will be two hyperbolas that are rotated from the normal x-y axis.
 
Technology news on Phys.org
barryj said:
I am trying to illustrate how hyperbolic navigation works. In the process, I need a program that will plot two hyperbolic equations and solve their intersection. I would rather not have to change the equation into function form if possible. I know that the plots will be two hyperbolas that are rotated from the normal x-y axis.
I think you might be asking about LORAN. Here's a link to some of the mathematics behind this technology -- http://mathcentral.uregina.ca/beyond/articles/LoranGPS/Loran.html
 
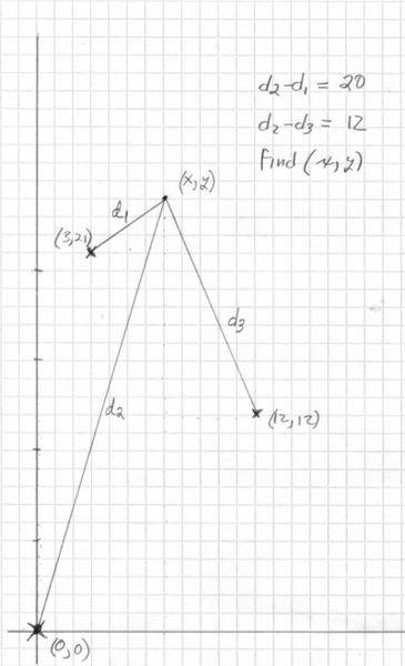
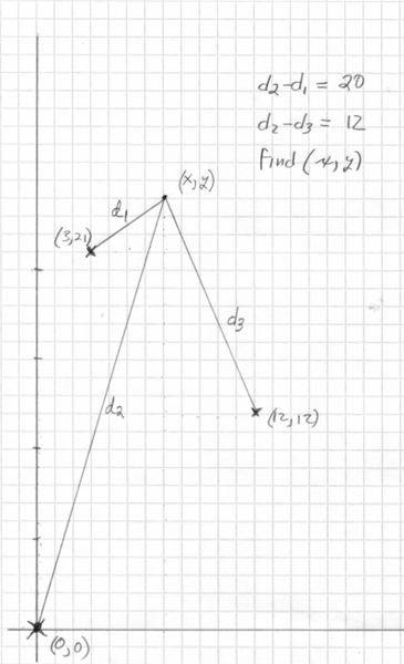
LORAN is the best example of hyperbolic navigation. However, some cities, I have been told, set up microphones around the city to detect gun shots. The difference in time of arrival of the shot sound can be used to figure out where the shot originated from. I have attached my example.

Knowing the position of three sources, and the difference in path lengths, find x,y.

img466.jpg
 

Attachments

  • img466.jpg
    img466.jpg
    24.1 KB · Views: 470
  • img466.jpg
    img466.jpg
    24.1 KB · Views: 484

Similar threads

Replies
7
Views
3K
Replies
1
Views
2K
  • · Replies 23 ·
Replies
23
Views
4K
  • · Replies 6 ·
Replies
6
Views
2K
  • · Replies 14 ·
Replies
14
Views
3K
  • · Replies 2 ·
Replies
2
Views
4K
  • · Replies 2 ·
Replies
2
Views
1K
  • · Replies 21 ·
Replies
21
Views
6K
  • · Replies 2 ·
Replies
2
Views
2K
Replies
2
Views
2K