Identifying and Classifying Critical Points

Click For Summary
SUMMARY

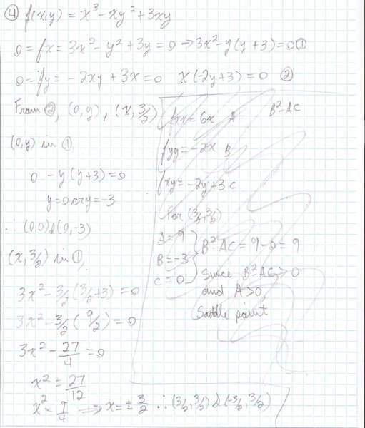
The critical points of the function discussed are identified as (0,0), (0,-3), (3/2,3/2), and (-3/2, 3/2). However, Wolfram Alpha indicates that the correct critical points are (0,0) and (0,3). The error in the calculations stems from a sign flip during the factoring of the y terms in the equation. This highlights the importance of careful algebraic manipulation when identifying critical points in calculus.

PREREQUISITES
  • Understanding of calculus concepts, specifically critical points and their classification.
  • Familiarity with algebraic manipulation and factoring techniques.
  • Experience using computational tools like Wolfram Alpha for verification of mathematical results.
  • Knowledge of functions and their derivatives to identify critical points.
NEXT STEPS
  • Review the process of finding critical points in multivariable calculus.
  • Learn about the classification of critical points using the second derivative test.
  • Explore advanced features of Wolfram Alpha for solving calculus problems.
  • Practice identifying and classifying critical points in various functions.
USEFUL FOR

Students studying calculus, educators teaching critical point analysis, and anyone interested in improving their algebraic manipulation skills for mathematical functions.

jegues
Messages
1,085
Reaction score
3

Homework Statement



Find all critical points of the function given.(see figure)

Choose and classify anyone critical point.

Homework Equations





The Attempt at a Solution



I found the following critical points,

(0,0), (0,-3), (3/2,3/2) and (-3/2, 3/2)

Wolfram alpha is telling me the critical points are (0,0) and (0,3). (We don't deal with critical points that have complex numbers in them).

I can't find my error.

Can anyone see it?
 

Attachments

  • CPQ2.jpg
    CPQ2.jpg
    33.5 KB · Views: 452
Physics news on Phys.org
You flipped a sign when you factored the y terms in equation (1).
 

Similar threads

  • · Replies 27 ·
Replies
27
Views
2K
  • · Replies 4 ·
Replies
4
Views
3K
  • · Replies 5 ·
Replies
5
Views
2K
Replies
3
Views
2K
  • · Replies 3 ·
Replies
3
Views
2K
  • · Replies 2 ·
Replies
2
Views
2K
  • · Replies 3 ·
Replies
3
Views
2K
Replies
5
Views
7K
  • · Replies 2 ·
Replies
2
Views
2K
  • · Replies 8 ·
Replies
8
Views
2K