Identifying variables from Riemann sum limits

Click For Summary

Homework Help Overview

The discussion revolves around identifying variables from an expanded Riemann sum, specifically determining its original form and the corresponding values for a, b, and f.

Discussion Character

  • Exploratory, Assumption checking, Problem interpretation

Approaches and Questions Raised

  • Participants explore how to relate the given Riemann sum to its original function form. Questions are raised about determining the value of Δx and how to express the terms in relation to f(a + iΔx). Some participants suggest comparing the sum to known formulas for summation.

Discussion Status

There is an ongoing exploration of the problem, with some participants offering insights into separating terms and identifying potential forms for f(x). However, no consensus has been reached, and multiple interpretations of the sum's structure are being considered.

Contextual Notes

Participants note the importance of understanding the limits and structure of the Riemann sum, with specific values and terms being discussed but not fully resolved.

crememars
Messages
15
Reaction score
2
Homework Statement
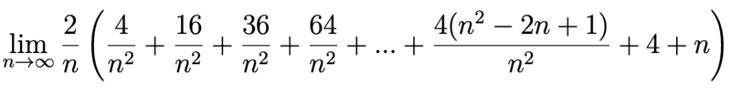
Consider the following limit of a Riemann sum for a function f on [a, b]. Identify f, a, and b,
and express the limit as a definite integral.

*see actual expression in the description below. it was too complicated to type out so I included a picture instead.
Relevant Equations
∆x = (b-a)/n
xiR = a + i∆x
xiL = a + (i-1)∆x
1678753965145.png

Hi! I understand that this is an expanded Riemann sum but I'm having trouble determining its original form. I don't actually have any ideas as to how to find it, but I know that once I determine the original form of the Riemann sum, I will be able to figure out the values for a, b, and f.

If anyone could suggest how to proceed I would really appreciate it. Thank you :)
 
Physics news on Phys.org
The last term is 2. For the other sums you shall use the formula
[tex]1^2+2^2+3^2+...+n^2=\frac{n(n+1)(2n+1)}{6}[/tex]
 
  • Like
Likes   Reactions: crememars
crememars said:
Hi! I understand that this is an expanded Riemann sum but I'm having trouble determining its original form. I don't actually have any ideas as to how to find it, but I know that once I determine the original form of the Riemann sum, I will be able to figure out the values for a, b, and f.

If anyone could suggest how to proceed I would really appreciate it. Thank you :)

Compare the sum to [tex] \Delta x \sum_{i=1}^{n} f(a + i\Delta x).[/tex] What would be a good guess for [itex]\Delta x[/itex]? One of the terms is given explicitly as [tex] \frac{4(n^2 - 2n + 1)}{n^2} =\frac{4(n-1)^2}{n^2}.[/tex] Can you guess the general form of the terms, and is your guess consistent with the first few terms given? How would you relate that general form to [itex]f(a + i\Delta x)[/itex]?
 
  • Like
Likes   Reactions: crememars
forgot to answer ! thank you for your help @pasmith and @anuttarasammyak :) I separated the terms and got f(x)= x^2 + 1

xiR = 2i/n -> x^2
n is just the riemann sum of 1 -> +1
∆x = 2/n

xiR = a + i∆x = a + 2i/n = 2i/n so a = 0 and b = 2
 

Similar threads

  • · Replies 2 ·
Replies
2
Views
1K
  • · Replies 4 ·
Replies
4
Views
2K
  • · Replies 5 ·
Replies
5
Views
2K
  • · Replies 14 ·
Replies
14
Views
5K
  • · Replies 7 ·
Replies
7
Views
2K
  • · Replies 3 ·
Replies
3
Views
2K
  • · Replies 2 ·
Replies
2
Views
2K
  • · Replies 2 ·
Replies
2
Views
2K
  • · Replies 26 ·
Replies
26
Views
3K
Replies
2
Views
3K