Implicit Derivation: Finding 2nd Derivative of y^2 = x^3

Click For Summary

Homework Help Overview

The discussion revolves around finding the second derivative of the implicitly defined function y² = x³. Participants are exploring the process of implicit differentiation and the challenges encountered in deriving the second derivative.

Discussion Character

  • Exploratory, Mathematical reasoning, Assumption checking

Approaches and Questions Raised

  • Participants discuss their attempts at differentiating the equation, with one noting their first derivative as dy/dx = 3x²/2y. There are questions about the correctness of the steps taken in finding the second derivative, and some express confusion about specific differentiation rules.

Discussion Status

There is ongoing exploration of the differentiation process, with participants providing feedback on each other's steps. Some guidance has been offered regarding the differentiation of products and the need to square the first derivative in certain steps, but no consensus on the final answer has been reached.

Contextual Notes

Participants are working under the constraints of implicit differentiation and are sharing their interpretations of the differentiation steps, which may include misunderstandings or misapplications of rules.

Bashyboy
Messages
1,419
Reaction score
5

Homework Statement


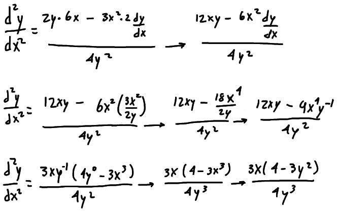
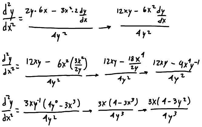
I am suppose to find the second derivative implicitly of the function y^2 = x^3. I find the first derivative to be dy/dx = 3x^2/2y, but shortly find myself having difficulty in the second derivation. My steps for the second derivative is in the file attached; there are a few additionally steps, but, at the last step, I am in no way nearing the actual answer.


Homework Equations





The Attempt at a Solution

 

Attachments

  • Untitled.jpg
    Untitled.jpg
    25 KB · Views: 594
Physics news on Phys.org
Bashyboy said:

Homework Statement


I am suppose to find the second derivative implicitly of the function y^2 = x^3. I find the first derivative to be dy/dx = 3x^2/2y, but shortly find myself having difficulty in the second derivation. My steps for the second derivative is in the file attached; there are a few additionally steps, but, at the last step, I am in no way nearing the actual answer.
attachment.php?attachmentid=44684&d=1330827924.jpg


I assume that you result for implicitly differentiating y^2 = x^3, the first time was something like:
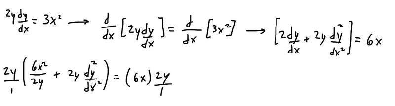
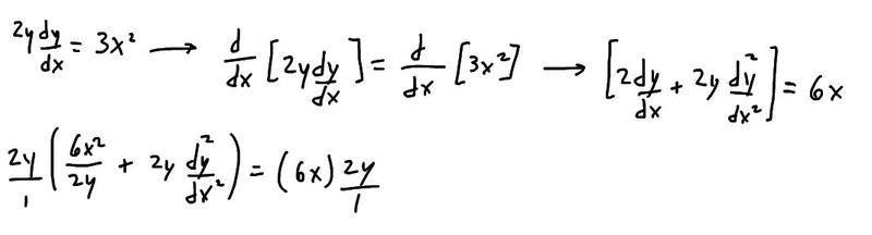
[itex]\displaystyle 2y(dy/dx)=3x^2[/itex]​
Differentiate that again before solving for dy/dx. It's easier to work with.
 
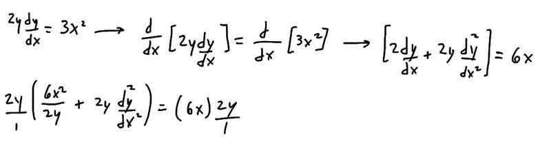
Well, I took the derivative from where you advised me to; but I still feel I am getting it wrong. Here are some of the steps I took, though there are few because I had the intuition that I was getting them wrong.
 

Attachments

  • Derivative.jpg
    Derivative.jpg
    12.7 KB · Views: 514
Bashyboy said:
Well, I took the derivative from where you advised me to; but I still feel I am getting it wrong. Here are some of the steps I took, though there are few because I had the intuition that I was getting them wrong.
attachment.php?attachmentid=44708&d=1330867488.jpg


That looks OK so far.
 
Well, the answer is 3x/4y, and I am still not getting this.
 
SammyS said:
attachment.php?attachmentid=44708&d=1330867488.jpg


That looks OK so far.

You miss a square in the second step . d/dx(yy')=y'2+yy".

ehild
 
ehild, I am terribly sorry: I don't really understand what you are saying; I can't not see what it is that I should be fixing in my second step.
 
ehild, I believe you may have made a mistake when typing with latex.
 
Do again the derivative of y dy/dx. It is (dy/dx)2+yd2y/dx2.

ehild
 
  • #10
SammyS said:
attachment.php?attachmentid=44708&d=1330867488.jpg


[STRIKE]That looks OK so far[/STRIKE].
I was wrong. As ehild pointed out, the dy/dx should be squared.

[itex]\displaystyle \frac{d}{dx}(2y\frac{dy}{dx})=2\frac{dy}{dx}\frac{dy}{dx}+2y\frac{d^2y}{dx^2}[/itex]
 

Similar threads

  • · Replies 24 ·
Replies
24
Views
3K
  • · Replies 2 ·
Replies
2
Views
2K
  • · Replies 15 ·
Replies
15
Views
2K
  • · Replies 4 ·
Replies
4
Views
2K
Replies
3
Views
2K
  • · Replies 3 ·
Replies
3
Views
2K
  • · Replies 6 ·
Replies
6
Views
4K
  • · Replies 1 ·
Replies
1
Views
1K
  • · Replies 12 ·
Replies
12
Views
2K
  • · Replies 6 ·
Replies
6
Views
2K