Inclusion/Exclusion Principle for 3 events

  • Thread starter Thread starter guyvsdcsniper
  • Start date Start date
  • Tags Tags
    Events Principle
Click For Summary
SUMMARY

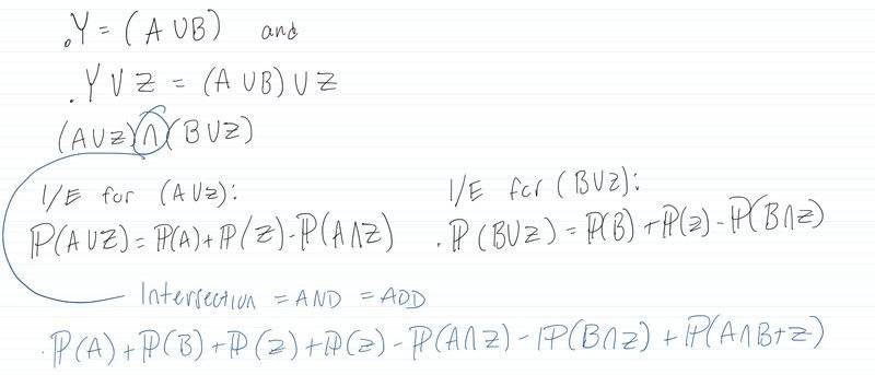
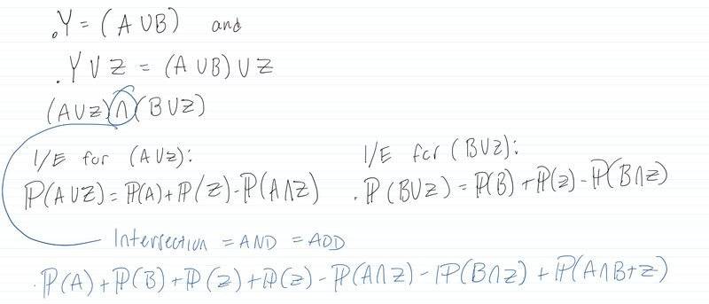
The discussion focuses on the Inclusion/Exclusion Principle (I/E) for three events, specifically addressing the application of the distributive law to the expression (A∪B)∪Z. The participants clarify that (A∪B)∪Z does not equal (A∪Z)∩(B∪Z) and emphasize the correct use of the I/E formula, which states P(A∪B∪C) = P(A) + P(B) + P(C) - P(A∩B) - P(A∩C) - P(B∩C) + P(A∩B∩C). The discussion highlights the importance of correctly applying the I/E principle to the combined events and stresses the need to memorize both sides of the identity.

PREREQUISITES
  • Understanding of the Inclusion/Exclusion Principle (I/E)
  • Familiarity with set theory operations, including union and intersection
  • Knowledge of probability notation and formulas
  • Ability to manipulate algebraic expressions involving sets
NEXT STEPS
  • Study the derivation of the Inclusion/Exclusion Principle for three events
  • Practice applying the I/E formula to various combinations of events
  • Learn about set operations and their properties in probability theory
  • Explore examples of common mistakes in applying the distributive law in set theory
USEFUL FOR

Students studying probability theory, mathematicians interested in set operations, and educators teaching the Inclusion/Exclusion Principle.

guyvsdcsniper
Messages
264
Reaction score
37
Homework Statement
Prove the I/E formula for 3 events by 1st applying
I/E to (A∪B) ∪Z. In other words, consider (A∪B) as a
single event "Y" and then apply I/E between "Y" and Z.
Relevant Equations
P(A∪B)=P(A)+P(B)−P(A∩B)

P(A∪B∪C)=P(A)+P(B)+P(C)−
−P(A∩B)−P(A∩C)−P(B∩C)+P(A∩B∩C)
Below is my attempt at the problem. I used the distributive law and applied to what was given, (A∪B)∪Z which equates to (A∪Z)∩(B∪Z). I then applied the 2 set I/E formula to each union. Since there is an intersection between these two sets I added them.
But I end up with 2 P(Z) which doesn't seem right.

I feel like I am got the distributive property part down but definitely getting something wrong past that.

IMG_E25E2089265F-1.jpeg
 
Physics news on Phys.org
I have a little trouble following it, but it looks like you've made a mistake in distribution e.g., ##(A \cup B) \cup Z \neq (A \cup Z) \cap (B \cup Z)## in general.

We have ##P(Y \cup Z) = P(Y) + P(Z) - P(Y \cap Z)##. We can then apply I/E to ##P(Y)## (i'll leave that to you). We can also use distribution (as you suggested) to get
$$Y \cap Z = (A \cup B) \cap Z = (A \cap Z) \cup (B \cap Z)$$

And now we can use I/E on ##P((A \cap Z) \cup (B \cap Z))## (what are the two events?).

Putting it all together should give us the identity!
 
  • Like
Likes   Reactions: PeroK
quittingthecult said:
Homework Statement:: Prove the I/E formula for 3 events by 1st applying
I/E to (A∪B) ∪Z. In other words, consider (A∪B) as a
single event "Y" and then apply I/E between "Y" and Z.
Relevant Equations:: P(A∪B)=P(A)+P(B)−P(A∩B)

P(A∪B∪C)=P(A)+P(B)+P(C)−
−P(A∩B)−P(A∩C)−P(B∩C)+P(A∩B∩C)

Below is my attempt at the problem. I used the distributive law and applied to what was given, (A∪B)∪Z which equates to (A∪Z)∩(B∪Z). I then applied the 2 set I/E formula to each union. Since there is an intersection between these two sets I added them.
But I end up with 2 P(Z) which doesn't seem right.

I feel like I am got the distributive property part down but definitely getting something wrong past that.

View attachment 301811
The instructions say to apply I/E to Y U Z. You didn't do that.

As for the rest, identities have a right side and a left side. You have to memorize both. You can't just memorize the right side and then write down whatever you feel like for the left side.

Regardless, there is no need to pick your favorite law from your list of identities. The instructions are really clear about what to do first.
 

Similar threads

  • · Replies 2 ·
Replies
2
Views
2K
  • · Replies 2 ·
Replies
2
Views
2K
  • · Replies 17 ·
Replies
17
Views
2K
  • · Replies 1 ·
Replies
1
Views
3K
  • · Replies 2 ·
Replies
2
Views
2K
  • · Replies 3 ·
Replies
3
Views
2K
  • · Replies 1 ·
Replies
1
Views
2K
Replies
5
Views
3K
  • · Replies 0 ·
Replies
0
Views
2K
  • · Replies 1 ·
Replies
1
Views
2K