Integral from Unsolvable Equation

  • Context: Graduate 
  • Thread starter Thread starter TheFool
  • Start date Start date
  • Tags Tags
    Integral
Click For Summary

Discussion Overview

The discussion revolves around a mathematical problem involving a continuous and decreasing function \( y(x) \) defined on the interval \([0,1]\). Participants are tasked with proving an integral involving the logarithm of \( y \) and its relationship to the powers of \( x \). The problem is complex due to the nature of the function and the parameters \( a \) and \( b \), which can take on non-integer values.

Discussion Character

  • Exploratory
  • Technical explanation
  • Debate/contested
  • Mathematical reasoning

Main Points Raised

  • One participant expresses confusion about the problem and notes that the trivial solution \( y = x \) leads to a divergent integral.
  • Another participant challenges the formulation of the integral, suggesting that it may have been incorrectly stated and proposes an alternative form.
  • Some participants discuss the graphical representation of the equation \( x^a - x^b = y^a - y^b \) and note the existence of two solutions for \( y \), one being \( y = x \) and the other fitting the original definition.
  • There is a mention of a specific case where \( y = \sqrt{1 - x^2} \) is tested, leading to a different integral result.
  • One participant suggests that there may not be a closed-form solution for \( y \) due to the variability of \( a \) and \( b \), but proposes the possibility of a series representation for \( \ln y \).
  • Several participants engage in a detailed exploration of a change of variables to simplify the integral, with some expressing uncertainty about the validity of the substitution and the implications for the limits of integration.
  • Concerns are raised about potential errors in the proposed methods, with calls for clarification and a more detailed outline of the approaches being discussed.

Areas of Agreement / Disagreement

Participants do not reach a consensus on the formulation of the integral or the validity of the proposed methods. There are multiple competing views and ongoing debates about the approach to the problem and the implications of various substitutions.

Contextual Notes

Limitations include the unclear nature of the integral's formulation, the dependence on the definitions of \( a \) and \( b \), and unresolved mathematical steps related to the change of variables. The discussion reflects a range of assumptions and conditions that have not been fully clarified.

TheFool
Messages
18
Reaction score
0
I'm a bit stumped with a problem I have recently seen. Here it is:

There is a continuous and decreasing function [tex]y(x):[0,1] \to [0,1],\mbox{ }0<a<b[/tex] and [tex]x^a-x^b=y^a-y^b[/tex]
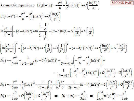
Prove that [tex]\int_{0}^{1} \frac{\ln y}{x} dx=-\frac{\pi ^2}{3ab}[/tex]

The trivial solution of y=x causes the integral to diverge. Frankly, I'm at a loss on how to approach this problem. Clearly you cannot solve for y in general as a and b can also take on non-integer values.
 
Physics news on Phys.org
TheFool said:
I'm a bit stumped with a problem I have recently seen. Here it is:

There is a continuous and decreasing function [tex]y(x):[0,1] \to [0,1],\mbox{ }0<a<b[/tex] and [tex]x^a-x^b=y^a-y^b[/tex]
Prove that [tex]\int_{0}^{1} \frac{\ln y}{x} dx=-\frac{\pi ^2}{3ab}[/tex]

The trivial solution of y=x causes the integral to diverge. Frankly, I'm at a loss on how to approach this problem. Clearly you cannot solve for y in general as a and b can also take on non-integer values.


Besides not being very-very clear, you seem to have given an incorrect integral:
[tex]\int_0^1\frac{\log y}{x}\,dx=\log y\int_0^1\frac{1}{x}\,dx[/tex]

and that improper integral diverges...perhaps you meant:

[tex]\,\,1)\,\,\,\forall\,\,0<a<b<1\,\,\,,\,\,x^a-x^b=y^a-y^b[/tex]

[tex]\,\,2)\,\,\,\int_0^1 \log\frac{y}{x}\,dx\,\,?\,[/tex]

Anyway, the above integral is an ugly beast...please clarify this.

DonAntonio
 
That's how the problem was presented. Also, y is a function of x, not a constant. As such, it cannot be removed from the integral.

I have implicitly plotted [tex]x^a-x^b=y^a-y^b[/tex] for various values of a and b and I can see the two solutions for y. One is x, and the other fits the definition of y(x) given in my original post.
 
Last edited:
In fact, it almost looks like a circle. Putting in [tex]y=\sqrt{1-x^{2}}[/tex] into the integral produces [tex]\int_{0}^{1} \frac{\ln y}{x} dx=-\frac{\pi ^2}{24}[/tex]
 
TheFool said:
That's how the problem was presented. Also, y is a function of x, not a constant. As such, it cannot be removed from the integral.

I have implicitly plotted [tex]x^a-x^b=y^a-y^b[/tex] for various values of a and b and I can see the two solutions for y. One is x, and the other fits the definition of y(x) given in my original post.



Oh, I see now...and those values of [itex]\,0<a<b\,[/itex] are constant and fixed, uh? Sorry, I don't have the faintest idea, though

I tried to make a substitution [tex]bx+(1-x)a=u\Longrightarrow dx=\frac{du}{b-a}[/tex] to change the integral's limits so that [itex]\,a,b\,[/itex] get into play, but I can't see how to get them as powers of neither [itex]\,x,y\,[/itex]...good luck!

DonAntonio
 
TheFool said:
In fact, it almost looks like a circle. Putting in [tex]y=\sqrt{1-x^{2}}[/tex] into the integral produces [tex]\int_{0}^{1} \frac{\ln y}{x} dx=-\frac{\pi ^2}{24}[/tex]


What is what looks "almost" as a circle??

DonAntonio
 
DonAntonio said:
What is what looks "almost" as a circle??

DonAntonio

I said in a previous post:
TheFool said:
...

I have implicitly plotted [tex]x^a-x^b=y^a-y^b[/tex] for various values of a and b and I can see the two solutions for y. One is x, and the other fits the definition of y(x) given in my original post.

I'm talking about the non-trivial solution for y. It's almost a circle.
 
Just to clarify the problem, I worked the trivial case of a=1, b=2. Then you get either y=x, for which the improper integral diverges, or y=(1-x) for which the improper integral is π^2/6, consistent with the stated general formula. I don't have any suggestion for where to go from there ... just that the problem as stated seems plausible.
 
It seems unlikely that there will be a closed form solution for y since a and b can take on non-integer values as well. However, there may be a series representation of the logarithm of y. That can be integrated.
 
  • #10
Where's Ramanujan when you need him ...
 
  • #11
Change of variable, x = eu+v, y = eu-v. Equation becomes
e(b-a)u = sinh(av)/sinh(bv)
Meanwhile, by symmetry about the u-axis, the integral becomes
I = ∫0(v-u).dv = ∫0((av - ln(sinh(av)) + bv - ln(sinh(bv)))/(b-a))dv
0(av - ln(sinh(av)))dv = ∫0(v - ln(sinh(v)))dv/a
I = ∫0(v - ln(sinh(v)))dv/ab
v - ln(sinh(v)) = -ln(1-e-2v) = Ʃe-2vn/n
I = Ʃ[-e-2vn/2n2]v=0/ab
= π2/12ab
Can anyone see where I lost the factor of 4?
 
  • #12
haruspex said:
Change of variable, x = eu+v, y = eu-v. Equation becomes
e(b-a)u = sinh(av)/sinh(bv)
Meanwhile, by symmetry about the u-axis, the integral becomes
I = ∫0(v-u).dv = ∫0((av - ln(sinh(av)) + bv - ln(sinh(bv)))/(b-a))dv
0(av - ln(sinh(av)))dv = ∫0(v - ln(sinh(v)))dv/a
I = ∫0(v - ln(sinh(v)))dv/ab
v - ln(sinh(v)) = -ln(1-e-2v) = Ʃe-2vn/n
I = Ʃ[-e-2vn/2n2]v=0/ab
= π2/12ab
Can anyone see where I lost the factor of 4?

How did you get to the bolded line? It looks to me like you're missing a factor from the change of variables, [itex]dx/x = dv\left[du(v)/dv + 1\right][/itex]. Where did that go?
 
  • #13
Mute said:
How did you get to the bolded line? It looks to me like you're missing a factor from the change of variables, [itex]dx/x = dv\left[du(v)/dv + 1\right][/itex]. Where did that go?
It's easiest in two stages. First x = er, y = es. The integral becomes ∫-∞0s.dr.
Next, r = u+v, s = u-v. The tricky part here is the integral. It's best to look at it graphically. In the r-s plane, the curve is in the -/- quadrant, asymptotic to both axes. It's symmetrical about the line r=s (the u-axis). We want the area between the curve and the r-s axes. Cut the area with the line r=s, and fix on the half of the area touching the r axis.
At a given v, the length of the area in the u direction is v-u. (I think I might have reversed the sign of u somewhere; it looks like this should be u+v, but v-u works.) So the (half) integral is ∫(v-u)dv. OTOH, the switch to u, v has changed the scale: du.dv = 2dr.ds. So I think ∫(v-u)dv is actually the whole integral. But if I have that wrong it might explain one or two factors of 2.
 
  • #14
haruspex said:
Change of variable, x = eu+v, y = eu-v. ...

Is that substitution of y valid as it's an unknown function of x? What is u and v?
 
  • #15
TheFool said:
Is that substitution of y valid as it's an unknown function of x? What is u and v?
It's just a change of variables. In graphical terms, a rotation through 45 degrees, but with a bit of scaling too. (To avoid the scaling it would be (u+v)/√2, etc.)
 
  • #16
haruspex said:
Change of variable, x = eu+v, y = eu-v. Equation becomes
e(b-a)u = sinh(av)/sinh(bv)
Meanwhile, by symmetry about the u-axis, the integral becomes
I = ∫0(v-u).dv = ∫0((av - ln(sinh(av)) + bv - ln(sinh(bv)))/(b-a))dv
0(av - ln(sinh(av)))dv = ∫0(v - ln(sinh(v)))dv/a
I = ∫0(v - ln(sinh(v)))dv/ab
v - ln(sinh(v)) = -ln(1-e-2v) = Ʃe-2vn/n
I = Ʃ[-e-2vn/2n2]v=0/ab
= π2/12ab
Can anyone see where I lost the factor of 4?

I think there are several things wrong with this, as suggested by Mute. However, it looks promising. I suggest working it out with the trivial case I gave (a=1,b=2), to clarify the issues. If I apply my understanding of what you suggest above to this case, it leads to nonsense. Meanwhile, directly dealing with:

y=(1-x), you get polylog(2,x) for the antiderivative, and this is zero for zero and π^2/6 for 1, giving the right answer. Working out your suggestion for this simple case should track down issues you (I think) have with limits of integration, dropped terms, etc.
 
Last edited:
  • #17
PAllen said:
If I apply my understanding of what you suggest above to this case, it leads to nonsense.
Then I haven't explained it well enough. How does it lead to nonsense?
 
  • #18
haruspex said:
Then I haven't explained it well enough. How does it lead to nonsense?

For starters, the limits of integration you propose are wrong for this case after your substitution. I get that they should be -∞ to +∞, which could explain one factor of 2. But then, I may be misunderstanding your method.

What would be helpful (to make sure we are on the same page) is to outline your approach in detail using the simple case. We know that direct computation of this simple case produces the right answer. Applying your method to it should help track down the issues.
 
  • #19
Haruspex, could you use [tex]so we can better see what you're doing? It'll improve readability.[/tex]
 
  • #20
PAllen said:
For starters, the limits of integration you propose are wrong for this case after your substitution. I get that they should be -∞ to +∞, which could explain one factor of 2.
The first substitution (x = exp(r)) makes the range r = -∞ to 0. The area now sits in the third quadrant and the curve resembles 1/r. I cut that in half at its axis of symmetry, r = s, and consider only the half adjacent to the negative r-axis. With the second substitution, v = r - s, the range becomes v = -∞ to 0 (I think I had v reversed in my head, so probably had a wrong sign there). The area of interest is now bounded by the curve, the u-axis, and by the line u = v (the r-axis). Hence the height, for purposes of integration, is v-u (both being negative).
 
  • #21
(In response to a request to rewrite in tex, correcting a few typos, and apparently finding my scaling error as a bonus:blushing:)
Change of variable, x = eu+v, y = eu-v. Equation becomes
[itex]e^{(b-a)u} = sinh(av)/sinh(bv)[/itex]
Meanwhile, by symmetry about the u-axis, the integral becomes
[itex]I = \int^{0}_{-∞}(v-u).dv = (4/(b-a))\int^{0}_{-∞}(-av + ln(sinh(av)) + bv - ln(sinh(bv)))dv[/itex]
(The region being integrated in the uv plane lies between the lines u = v < 0, u = -v > 0, and the curve. This is symmetric about the u-axis, so is twice area bounded by that axis, u = -v > 0 and the curve. For a given v < 0, the range of u for the area lies between the curve and -v. Hence the value to be integrated is the difference of the two.
The halving of the range provides a factor 2 in the expression for I. The other factor of 2 is because the substitution introduces a scaling: dxdy = 2dudv... got that backwards originally)
[itex]\int^{0}_{-∞}(-av + ln(sinh(av)))dv = a^{-1}\int^{-∞}_{0}(v - ln(sinh(v)))dv[/itex]
Applying this to both the a and b terms, the factor b-a cancels:
[itex]I = 4(ab)^{-1}\int^{-∞}_{0}(v - ln(sinh(v)))dv[/itex]
[itex]v - ln(sinh(v)) = -ln(1-e^{-2v}) = \sum e^{-2vn}/n[/itex]
[itex]I = 4(ab)^{-1}\sum[-e^{-2vn}/2n^2]_{v=0}^∞[/itex]
= π2/3ab
 
  • #22
The part I don't see is that after your r,s substitution, then u,v substitution, in my simple case, I get:

∫ (u-v)((du/dv)+1) dv with limits -∞ to +∞

I'm stuck on the same point Mute was: I don't buy how you get just (u-v)dv. I also, as noted, get different integration limits. I agree, after r,s substitution, we have:

∫sdr, with limits -∞ to 0. However, from here, I get the above instead of what you get.

[Edit: also, we've both been sloppy with signs. The integral is negative. With the limits zero to one, my simple case is actually negative polylog(2,x), so the result is -π^2/6, consistent with post #1. The desired general result is -π^2/3ab]
 
  • #23
To get limits of integration going from r,s to u,v we need (implicitly or explicitly) v(r) applied to -∞ and 0. In my simple case, I can get this explicitly, and it leads to limits of -∞ and +∞.
 
  • #24
PAllen said:
The part I don't see is that after your r,s substitution, then u,v substitution, in my simple case, I get:

∫ (u-v)((du/dv)+1) dv with limits -∞ to +∞
Draw yourself a diagram. In the rs view, the area required lies in the 3rd quadrant. It is bounded by the -ve r-axis, -ve s-axis, and a curve resembling r = 1/s. It is symmetric about r = s. Now cut it in half along r = s and consider only the portion adjacent to the r-axis. The v-coordinate is the distance from the origin in a "NW" direction (-ve v). For the purposes of integration, treat this as the independent variable.
At a given v, take an element width δv. This is a slice in SW/NE orientation. It cuts the area of interest at two points, u = v (i.e. s = 0) and at the curved boundary, u = u(v). The elemental area is therefore |(-v + u(v))δv|. For this halved region, the range is v = -∞ to 0. Note that if you wanted to integrate the whole region instead of cutting it in half, you'd have to involve the r = 0 boundary. This makes the integrand messier: ||v| - |u(v)||.
 
  • #25
haruspex said:
Draw yourself a diagram. In the rs view, the area required lies in the 3rd quadrant. It is bounded by the -ve r-axis, -ve s-axis, and a curve resembling r = 1/s. It is symmetric about r = s. Now cut it in half along r = s and consider only the portion adjacent to the r-axis. The v-coordinate is the distance from the origin in a "NW" direction (-ve v). For the purposes of integration, treat this as the independent variable.
At a given v, take an element width δv. This is a slice in SW/NE orientation. It cuts the area of interest at two points, u = v (i.e. s = 0) and at the curved boundary, u = u(v). The elemental area is therefore |(-v + u(v))δv|. For this halved region, the range is v = -∞ to 0. Note that if you wanted to integrate the whole region instead of cutting it in half, you'd have to involve the r = 0 boundary. This makes the integrand messier: ||v| - |u(v)||.

diagram, shmiagram. What is the mathematical justification? To go from dr to dv, given r=u+v, u an unknown function of v, you need: (du/dv+1) dv. I don't see how any diagram changes this.
 
  • #26
haruspex said:
(In response to a request to rewrite in tex, correcting a few typos, and apparently finding my scaling error as a bonus:blushing:)
Change of variable, x = eu+v, y = eu-v. Equation becomes
[itex]e^{(b-a)u} = sinh(av)/sinh(bv)[/itex]
Meanwhile, by symmetry about the u-axis, the integral becomes
[itex]I = \int^{0}_{-∞}(v-u).dv = (4/(b-a))\int^{0}_{-∞}(-av + ln(sinh(av)) + bv - ln(sinh(bv)))dv[/itex]
(The region being integrated in the uv plane lies between the lines u = v < 0, u = -v > 0, and the curve. This is symmetric about the u-axis, so is twice area bounded by that axis, u = -v > 0 and the curve. For a given v < 0, the range of u for the area lies between the curve and -v. Hence the value to be integrated is the difference of the two.
The halving of the range provides a factor 2 in the expression for I. The other factor of 2 is because the substitution introduces a scaling: dxdy = 2dudv... got that backwards originally)
[itex]\int^{0}_{-∞}(-av + ln(sinh(av)))dv = a^{-1}\int^{-∞}_{0}(v - ln(sinh(v)))dv[/itex]
Applying this to both the a and b terms, the factor b-a cancels:
[itex]I = 4(ab)^{-1}\int^{-∞}_{0}(v - ln(sinh(v)))dv[/itex]
[itex]v - ln(sinh(v)) = -ln(1-e^{-2v}) = \sum e^{-2vn}/n[/itex]
[itex]I = 4(ab)^{-1}\sum[-e^{-2vn}/2n^2]_{v=0}^∞[/itex]
= π2/3ab

The integral is one-dimensional. y is a function of x; similarly, either u must be a function of v or vice versa. I do not see how quoting a Jacobian result for [itex]dxdy \rightarrow |\mathcal J| duduv[/itex] (bolded in the quote) applies; furthermore, on the basis of your change of variables the Jacobian should be -2exp(2u), not just -2. If you did not mean a Jacobian by that expression, then you need to clarify what you did mean, because I am not following your argument.

It would be helpful if you drew the picture you have in mind when you make these symmetry arguments.

It would also be rather instructive if you could actually show mathematically, without using graphical arguments, that

[tex]\int_{-\infty}^\infty dv (v-u)\left[ \frac{du(v)}{dv}+1\right] =_? \int_{-\infty}^0 dv (v-u)[/tex]
(there may be a sign error there, and I haven't double-checked the limits PAllen gets for v).

At the moment, I still find your symmetry argument confusing, and it looks to me like you are mixing results, or at least notation, from one and two dimensional integrals.

Also,

[tex]v - \ln(\sinh(v)) = -\ln(1-e^{-2x}) + \ln 2,[/tex]
but in your derivation you leave out the ln2, which is integrated over and would give a divergent result. The integral of v - ln(sinh(v)) does not actually converge. On [itex](-\infty,0][/itex], the area is simply unbounded, as can be seen by plotting. These are the original limits you wrote down which you then switch to [itex][0,\infty)[/itex], so perhaps you still have a typo, but even on this interval, the function levels off to ln2, so the area still diverges unless that ln2 is subtracted off, but that doesn't occur in the derivation offered.
 
Last edited:
  • #27
No wonder I'm confused by his substitutions.
 
  • #28
PAllen said:
diagram, shmiagram. What is the mathematical justification? To go from dr to dv, given r=u+v, u an unknown function of v, you need: (du/dv+1) dv. I don't see how any diagram changes this.
As.dr is an area. Any way you validly measure that area is justified. It doesn't necessarily automatically pop out as a result of the substitution - it may require further algebraic manipulation to arrive at the same result. If you wish to obtain it that way then go ahead; it must be possible to turn my geometric argument into algebra.
 
  • #29
haruspex said:
As.dr is an area. Any way you validly measure that area is justified. It doesn't necessarily automatically pop out as a result of the substitution - it may require further algebraic manipulation to arrive at the same result. If you wish to obtain it that way then go ahead; it must be possible to turn my geometric argument into algebra.

But that is for you to do. The other thread participants find your geometric argument some combination of incomprehensible and unconvincing. For me, I don't understand how any geometric argument can make your integral valid. I want to see analysis.
 
  • #30
Mute said:
The integral is one-dimensional. y is a function of x; similarly, either u must be a function of v or vice versa.
The original equation specifies a relationship between x and y. Either can be viewed as a function of the other. After the rs substitution, the integral becomes ∫s.dr, -∞<r<0. This can be interpreted as an area A bounded by the negative r-axis, the negative s-axis, and the curve of s as a function of r. This can equally be thought of as a two dimensional integral, ∫∫Adrds.
I do not see how quoting a Jacobian result for [itex]dxdy \rightarrow |\mathcal J| duduv[/itex] (bolded in the quote) applies; furthermore, on the basis of your change of variables the Jacobian should be -2exp(2u), not just -2.
Sorry, typo: I meant drds = 2dudv.
It would be helpful if you drew the picture you have in mind when you make these symmetry arguments.
If you insist, but I really think I have described it in enough detail for you to draw your own.

[tex]v - \ln(\sinh(v)) = -\ln(1-e^{-2x}) + \ln 2,[/tex]
Good catch - another typo in transcription. I should have written e(b−a)u=(2sinh(av))/(2sinh(bv)) then worked with twice sinh throughout. This gets rid of the problem.
 

Similar threads

  • · Replies 1 ·
Replies
1
Views
3K
  • · Replies 4 ·
Replies
4
Views
4K
  • · Replies 20 ·
Replies
20
Views
4K
  • · Replies 2 ·
Replies
2
Views
3K
  • · Replies 2 ·
Replies
2
Views
2K
  • · Replies 5 ·
Replies
5
Views
3K
  • · Replies 1 ·
Replies
1
Views
3K
  • · Replies 3 ·
Replies
3
Views
3K
  • · Replies 14 ·
Replies
14
Views
4K
  • · Replies 29 ·
Replies
29
Views
5K