Integral of an Exponential function

Click For Summary

Homework Help Overview

The discussion revolves around the integral of an exponential function, specifically the integral from a variable upper limit to infinity of the function e^(-u). Participants are attempting to clarify the setup and notation of the integral.

Discussion Character

  • Exploratory, Assumption checking, Problem interpretation

Approaches and Questions Raised

  • The original poster expresses uncertainty about solving the integral and seeks assistance. Some participants question the notation and boundaries of the integral, suggesting that the integration variable should not appear in the limits. Others reference a similar problem found in a research paper, indicating a search for relevant solutions.

Discussion Status

The discussion is ongoing, with participants exploring different interpretations of the integral. Some guidance has been offered regarding the proper setup of the integral, but there is no explicit consensus on the solution or approach yet.

Contextual Notes

There appears to be confusion regarding the notation and the correct formulation of the integral, which may affect the discussion. The original poster's request for derivation or references indicates a desire for deeper understanding rather than just an answer.

rabbahs
Messages
16
Reaction score
0
Hello every one,

I was doing my research and then I simply struck at a point.
The point is that i do not know how to solve the following Integral. I am not at all bad at doing math but some times I got blanked.

so, here is the Integral,

Integral.jpg


Integral (infinity,u) exponent^(-u) du

result with derivation or with some reference will be highly appreciated.

thanks
 
Physics news on Phys.org
Err, that doesn't really make sense. Do you mean,
[tex]\int_{u}^\infty e^{-v} \, dv[/tex]
by any chance (with the boundaries in the correct order and where the integration variable is a dummy not occurring in the integration boundary).
 
ok, if it is the case then what will be the answer ?
 
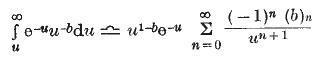
In a research paper, I found a solution to a similar problem.

Integral.jpg


please look at it
 
rabbahs said:
In a research paper, I found a solution to a similar problem.

View attachment 26661

please look at it
This is not that similar. Your problem, assuming that it is as CompuChip suggested, is
[tex]\int_u^{\infty} e^{-v}dv[/tex]

First, find an antiderivative using substitution.
Second, evaluate the improper integral using limits.

This is not a very complicated integral.
 

Similar threads

  • · Replies 11 ·
Replies
11
Views
3K
  • · Replies 3 ·
Replies
3
Views
2K
Replies
2
Views
2K
Replies
3
Views
2K
Replies
7
Views
2K
Replies
3
Views
2K
  • · Replies 1 ·
Replies
1
Views
1K
  • · Replies 4 ·
Replies
4
Views
1K
  • · Replies 3 ·
Replies
3
Views
2K
  • · Replies 7 ·
Replies
7
Views
2K