Evaluating an integral of an exponential function

Click For Summary

Homework Help Overview

The discussion revolves around evaluating an integral of an exponential function, with references to Gaussian integrals and transformations involving trigonometric functions. Participants are exploring the nature of the integral and its potential solutions.

Discussion Character

  • Exploratory, Mathematical reasoning, Assumption checking

Approaches and Questions Raised

  • The original poster attempts to relate the integral to Gaussian integrals and considers transforming the cosine function into an exponential form. Some participants suggest looking for resources, such as video tutorials, to aid in understanding the integral. Others discuss expressing the integral in terms of Gaussian integrals and mention methods like differentiation and path deformation for verification.

Discussion Status

The discussion is active, with participants sharing resources and exploring different interpretations of the integral. Some guidance has been offered regarding the relationship to Gaussian integrals, but no consensus has been reached on a specific method or solution.

Contextual Notes

Participants are navigating the complexities of the integral without complete information on its evaluation. There is an acknowledgment of the integral's dependence on parameters, such as 'k', and the implications of setting certain values for simplification.

dykuma
Messages
55
Reaction score
6
Homework Statement
I've been messing with this integral for a few days now, and have made no progress on it. I know what the the answer will be thanks to mathermatica, but I want to know how to do it myself.
Relevant Equations
N/A
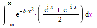
the integral is:
1587172354600.png

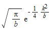
and according to mathematica, it should evaluate to be:
1587172658000.png
.​

So it looks like some sort of Gaussian integral, but I'm not sure how to get there. I tried turning the cos function into an exponential as well:
1587172567500.png

however, I don't think this helps the issue much.
 
Physics news on Phys.org
jedishrfu said:
There's a cool youtube channel called BlackPenRedPen and I'm sure he has done this integral:

https://www.youtube.com/channel/UC_SvYP0k05UKiJ_2ndB02IA

and here's one that looks like your integral:


I had thought about looking through his channel, but I was not sure what to look for on there. That's exactly what I needed though. Thanks!
 
Your integral can be expressed in terms of a Gaussian integral.
$$\int_{-\infty}^\infty \exp\left(-b \left(x+i \frac{k}{2b}\right)^2\right) \, dt=\int_{-\infty}^\infty \exp\left(-b \left(x+i \frac{0}{2b}\right)^2\right) \, dt$$
Notice the Gaussian integral is independent of k and k=0 is a convenient value.
you can verify this by differentiating by k or deforming the path of integration
$$I=\int_{-\infty}^\infty \exp(-b x^2)\cos(k x) \, dt $$
$$I=\exp\left(-\left(\frac{k} {2b}\right)^2\right)\int_{-\infty}^\infty \exp\left(-b \left(x+i \frac{k}{2b}\right)^2\right) \, dt$$
$$I=\exp\left(-\left(\frac{k} {2b}\right)^2\right)\int_{-\infty}^\infty \exp\left(-b \left(x+i \frac{0}{2b}\right)^2\right) \, dt$$
 
Last edited:
  • Like
Likes   Reactions: dykuma and jedishrfu

Similar threads

  • · Replies 3 ·
Replies
3
Views
2K
Replies
25
Views
3K
Replies
8
Views
2K
Replies
2
Views
2K
  • · Replies 3 ·
Replies
3
Views
3K
  • · Replies 1 ·
Replies
1
Views
2K
Replies
2
Views
1K
Replies
3
Views
2K
  • · Replies 7 ·
Replies
7
Views
2K
Replies
7
Views
3K