Integral of Open Set Homework: The Attempt at a Solution

  • Thread starter Thread starter cummings12332
  • Start date Start date
  • Tags Tags
    Integral Set
Click For Summary

Homework Help Overview

The discussion revolves around the properties of functions in the norm space C[0,1], specifically focusing on the closedness of a set A and the continuity of an anti-derivative. Participants explore the implications of convergence in function sequences and the definitions of continuity.

Discussion Character

  • Exploratory, Conceptual clarification, Assumption checking

Approaches and Questions Raised

  • Participants discuss the need to prove that the limit of a convergent sequence of functions in A remains within A. Questions arise about the definitions of continuity and the boundedness of functions. There is also a debate on how to demonstrate that a function is bounded between 0 and 1.

Discussion Status

The discussion is active, with participants providing guidance on proving properties of functions and questioning assumptions made in the original attempts. There is a focus on clarifying definitions and ensuring that reasoning aligns with mathematical principles.

Contextual Notes

Some participants express uncertainty about the definitions and properties being used, particularly regarding continuity and boundedness. There are also references to the use of LaTeX for clarity in mathematical expressions.

cummings12332
Messages
38
Reaction score
0

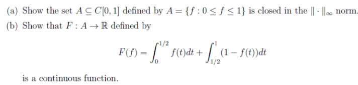
Homework Statement



2.png



The Attempt at a Solution


for part A i assume that f is in norm space C[0,1],||.|| , then choose a sequence fn in C[o,1] s.t fn->f then for 0<fn<1 so 0<f<1 i.e. A is closed i am not sure my answer here

for part B i assume the anti-derivatice of f(t) to be K(t)+c therefore, by F(f)=2K(1/2)+1/2-K(1)-K(0) then how should i prove it is cts ?
 
Physics news on Phys.org
cummings12332 said:

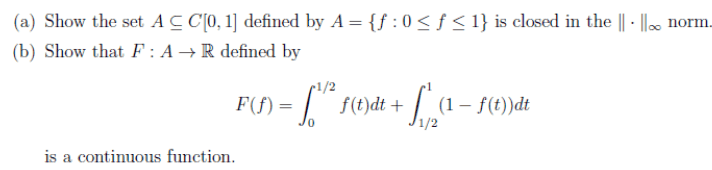
Homework Statement



View attachment 53601

The Attempt at a Solution


for part A i assume that f is in norm space C[0,1],||.|| , then choose a sequence fn in C[o,1] s.t fn->f then for 0<fn<1 so 0<f<1 i.e. A is closed i am not sure my answer here

I don't see how that proves anything. You need to prove that if [itex]f_n[/itex] is a convergent sequence in A such that [itex]f_n\rightarrow f[/itex], that then [itex]f[/itex] is an element of A.

for part B i assume the anti-derivatice of f(t) to be K(t)+c therefore, by F(f)=2K(1/2)+1/2-K(1)-K(0) then how should i prove it is cts ?

OK, but that doesn't really help. What definition of continuous would you like to use here? Can you state it?

Also, it would be a great help for us if you would type your posts in LaTeX: https://www.physicsforums.com/showpost.php?p=3977517&postcount=3
 
δ
micromass said:
I don't see how that proves anything. You need to prove that if [itex]f_n[/itex] is a convergent sequence in A such that [itex]f_n\rightarrow f[/itex], that then [itex]f[/itex] is an element of A.
OK, but that doesn't really help. What definition of continuous would you like to use here? Can you state it?

Also, it would be a great help for us if you would type your posts in LaTeX: https://www.physicsforums.com/showpost.php?p=3977517&postcount=3

if [itex]f_n[/itex] is a convergent sequence in A such that [itex]f_n\rightarrow f[/itex], then for [itex]f_n[/itex] is in A , A is a subset of C[0,1] so fn is bounded by 0 and 1 and continuous on [0,1] so fn is uniformly continuous to f ,then f is bouded by 0,1 which is in A?

and secound part if i use the definition of continuous , then exists a δ,s.t. |f(x)-f(y)|<δ implies that |F(f(x))-F(g(x))|<esillope . and just fixed the esillope . and i can solve it out now many thanks
 
Last edited:
cummings12332 said:
if [itex]f_n[/itex] is a convergent sequence in A such that [itex]f_n\rightarrow f[/itex], then for [itex]f_n[/itex] is in A , A is a subset of C[0,1] so fn is bounded by 0 and 1 and continuous on [0,1] so fn is uniformly continuous to f ,then f is bouded by 0,1 which is in A?

Sure. But can you actually prove that f is bounded by 0 and 1? Once you proven that, I agree that the above shows that A is closed.

and secound part if i use the definition of continuous , then exists a δ,s.t. |f(x)-f(y)|<δ implies that |F(f(x))-F(g(x))|<esillope . and just fixed the esillope . and i can solve it out now many thanks

Protip: we usually talk about epsilon instead of esillope

OK, so you you need to make [itex]|F(f)-F(g)|[/itex] small somehow by making [itex]\|f-g\|_\infty[/itex] small. So, let us start by writing

[tex]|F(f)-F(g)|=\left|\int_0^{1/2}f(t)dt + \int_{1/2}^1 (1-f(t))dt - \int_0^{1/2} g(t)dt - \int_{1/2}^1 (1-g(t))dt\right|[/tex]

Try to find a good estimation for that.
 
micromass said:
Sure. But can you actually prove that f is bounded by 0 and 1? Once you proven that, I agree that the above shows that A is closed.



Protip: we usually talk about epsilon instead of esillope

OK, so you you need to make [itex]|F(f)-F(g)|[/itex] small somehow by making [itex]\|f-g\|_\infty[/itex] small. So, let us start by writing

[tex]|F(f)-F(g)|=\left|\int_0^{1/2}f(t)dt + \int_{1/2}^1 (1-f(t))dt - \int_0^{1/2} g(t)dt - \int_{1/2}^1 (1-g(t))dt\right|[/tex]

Try to find a good estimation for that.


i not sure how to prove that 0<f<1 ,which way should i begin with??
 
cummings12332 said:
i not sure how to prove that 0<f<1 ,which way should i begin with??

You should not prove 0<f<1, you should prove [itex]0\leq f\leq 1[/itex].

Start by fixing an [itex]x\in [0,1][/itex]. Then try to deduce from [itex]f_n(x)\rightarrow f(x)[/itex] that [itex]0\leq f(x)\leq 1[/itex].
 
micromass said:
You should not prove 0<f<1, you should prove [itex]0\leq f\leq 1[/itex].

Start by fixing an [itex]x\in [0,1][/itex]. Then try to deduce from [itex]f_n(x)\rightarrow f(x)[/itex] that [itex]0\leq f(x)\leq 1[/itex].

for me ,it is obviouse. [itex]0\leq f_n\leq 1[/itex]. then max fn =1, min fn =0 and limfn =f so by sanwich rule [itex]0\leq f(x)\leq 1[/itex] i just don't know how should i prove that f is bounded by [0,1] here
 
cummings12332 said:
for me ,it is obviouse. [itex]0\leq f_n\leq 1[/itex]. then max fn =1, min fn =0

Why should [itex]\max f_n=1[/itex] and [itex]\min f_n=0[/itex]?? That's really weird.
For example, take the map

[tex]f_n:[0,1]\rightarrow \mathbb{R}:x\rightarrow x\rightarrow \frac{1}{n}[/tex]

then the [itex]\max f_n=\min f_n=\frac{1}{n}[/itex].

i just don't know how should i prove that f is bounded by [0,1] here

You're really making it harder than it is. I'm just asking you that if [itex](y_n)_n[/itex] is a convergent sequence with [itex]y_n\rightarrow y[/itex], and if [itex]0\leq y_n\leq 1[/itex], then [itex]0\leq y\leq 1[/itex]. It doesn't even have anything to do with functions.
 
micromass said:
Why should [itex]\max f_n=1[/itex] and [itex]\min f_n=0[/itex]?? That's really weird.
For example, take the map

[tex]f_n:[0,1]\rightarrow \mathbb{R}:x\rightarrow x\rightarrow \frac{1}{n}[/tex]

then the [itex]\max f_n=\min f_n=\frac{1}{n}[/itex].



You're really making it harder than it is. I'm just asking you that if [itex](y_n)_n[/itex] is a convergent sequence with [itex]y_n\rightarrow y[/itex], and if [itex]0\leq y_n\leq 1[/itex], then [itex]0\leq y\leq 1[/itex]. It doesn't even have anything to do with functions.

omg! that's what i thought at the beginning! many thanks !
 

Similar threads

  • · Replies 1 ·
Replies
1
Views
2K
  • · Replies 5 ·
Replies
5
Views
2K
Replies
15
Views
2K
Replies
6
Views
3K
  • · Replies 3 ·
Replies
3
Views
2K
  • · Replies 1 ·
Replies
1
Views
1K
  • · Replies 9 ·
Replies
9
Views
2K
  • · Replies 105 ·
4
Replies
105
Views
11K
Replies
4
Views
5K
  • · Replies 3 ·
Replies
3
Views
1K