Integration of a trigonometic function

Click For Summary

Homework Help Overview

The discussion revolves around the integration of a trigonometric function, specifically focusing on the integral of a function involving sine and cosine over the interval from 0 to π/2. Participants explore various identities and transformations to simplify the integration process.

Discussion Character

  • Exploratory, Conceptual clarification, Mathematical reasoning, Assumption checking

Approaches and Questions Raised

  • Participants discuss transforming the integral to involve only cosine, questioning the feasibility of the integration. There are hints provided regarding trigonometric identities and the potential use of sum-to-product transformations for the denominator. Some participants express confusion about the derivation of certain identities and how they apply to the problem.

Discussion Status

Multiple approaches are being explored, with hints and identities shared among participants. Some guidance has been offered regarding the use of specific trigonometric identities, but there is no explicit consensus on the best method to proceed. Participants continue to question and clarify their understanding of the transformations involved.

Contextual Notes

Some participants express uncertainty about the identities being used and seek clarification on their derivations. There is also mention of a deleted suggestion that may have contained useful information for the discussion.

chwala
Gold Member
Messages
2,841
Reaction score
428
Homework Statement
find ##\int_0^{0.5π} \frac {sin^2 x}{sin x + cos x}dx##
Relevant Equations
integration
my thinking was to have everything changed to a function that has cosine only...

##\int_0^{0.5π} \frac {1-cos^2x}{sin x + cos x}dx##

##\int_0^{0.5π} \frac {(1-cos x)(1+cos x)}{(1-cos^2x)^{0.5} + cos x}dx## ...

first of all is this integration possible? if so then let me know if i am on the right track...chain rule?
 
Last edited:
Physics news on Phys.org
Hint: [tex] \begin{align*}<br /> \cos(x - \tfrac{\pi}4) &= \frac1{\sqrt 2}(\cos x + \sin x) \\<br /> \sin(x + \tfrac{\pi}4) &= \frac1{\sqrt 2}(\cos x + \sin x)<br /> \end{align*}[/tex]
 
  • Like
Likes   Reactions: chwala and etotheipi
Or am I supposed to use the relation of expressing sum of trig functions as a product...for the denominator...
 
pasmith said:
Hint: [tex] \begin{align*}<br /> \cos(x - \tfrac{\pi}4) &= \frac1{\sqrt 2}(\cos x + \sin x) \\<br /> \sin(x + \tfrac{\pi}4) &= \frac1{\sqrt 2}(\cos x + \sin x)<br /> \end{align*}[/tex]
Never seen this identity...how did you arrive at it?I would like to see how it was derived or reference
 
i am getting,
##\frac {4}{π√2}\int_0^{0.5π} \frac {sin(u-0.25π)}{sin u}du##
=##\frac {4}{π√2}\int_0^{0.5π} \frac {sinu-cos u}{sin u}du##
==##\frac {4}{π√2}\int_0^{0.5π} [1-cot u ]du=\frac {4}{π√2}\left.[u-ln sin u]\right|_0^{0.5π}##
=##\frac {4}{π√2}\left.[(x+0.25π)-ln sin (x+0.25π)]\right|_0^{0.5π}##
correct?
 
Last edited:
chwala said:
Never seen this identity...how did you arrive at it?I would like to see how it was derived or reference

Use the identities [tex] \begin{align*}<br /> \cos(x \pm y) &= \cos x \cos y \mp \sin x \sin y \\<br /> \sin(x \pm y) &= \sin x \cos y \pm \cos x \sin y<br /> \end{align*}[/tex] and [itex]\cos \frac{\pi}4 = \sin \frac{\pi}4 = \frac1{\sqrt 2}[/itex].

You can use @etotheipi's suggestion (which they have now deleted) of using the identities [tex] \cos x = \sin (\tfrac{\pi}2 - x), \qquad \sin x = \cos(\tfrac{\pi}2 - x)[/tex] to show that [tex]\int_0^{\pi/2} \frac{\sin^2 x}{\cos x + \sin x}\,dx =<br /> \frac12 \int_0^{\pi/2} \frac{1}{\sin x + \cos x}\,dx[/tex] and then use the identity I posted to simplify the denominator.
 
  • Like
Likes   Reactions: chwala
pasmith said:
Use the identities [tex] \begin{align*}<br /> \cos(x \pm y) &= \cos x \cos y \mp \sin x \sin y \\<br /> \sin(x \pm y) &= \sin x \cos y \pm \cos x \sin y<br /> \end{align*}[/tex] and [itex]\cos \frac{\pi}4 = \sin \frac{\pi}4 = \frac1{\sqrt 2}[/itex].

You can use @etotheipi's suggestion (which they have now deleted) of using the identities [tex] \cos x = \sin (\tfrac{\pi}2 - x), \qquad \sin x = \cos(\tfrac{\pi}2 - x)[/tex] to show that [tex]\int_0^{\pi/2} \frac{\sin^2 x}{\cos x + \sin x}\,dx =<br /> \frac12 \int_0^{\pi/2} \frac{1}{\sin x + \cos x}\,dx[/tex] and then use the identity I posted to simplify the denominator.

am still not getting it...how does the numerator change from ##sin^2 x## to ##1##
what i know probably is using ##cos 2x= 1-2sin^2x##, this way its clear to me...
ok i have seen it,..you want me to use ##sin x=\frac {1}{√2}##→##sin^2x=0.5## :cool:
 
Last edited:
pasmith said:
You can use @etotheipi's suggestion (which they have now deleted) of using the identities [tex] \cos x = \sin (\tfrac{\pi}2 - x), \qquad \sin x = \cos(\tfrac{\pi}2 - x)[/tex] to show that [tex]\int_0^{\pi/2} \frac{\sin^2 x}{\cos x + \sin x}\,dx =<br /> \frac12 \int_0^{\pi/2} \frac{1}{\sin x + \cos x}\,dx[/tex] and then use the identity I posted to simplify the denominator.

Yeah sorry about that, I looked at the integral and went "yeah, I know how to do that", wrote a little comment but then realized that the resulting integral isn't too easy either. But then I read your post #2, and with those identities you can indeed then solve the ##1/(\sin{x} + \cos{x})## integral, so I guess the suggestion was fine all along 😜
 
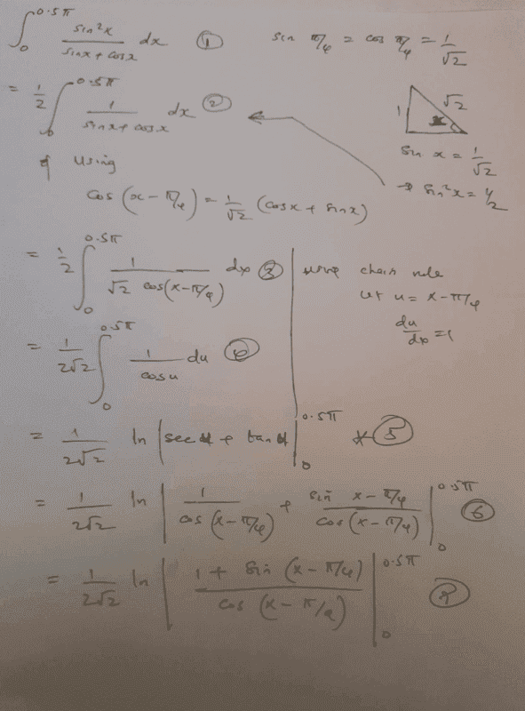
i am now getting,
##\frac {1}{2√2}\int_0^{0.5π} \frac {1}{cos (x-0.25π)}dx##
=##\frac {1}{2√2}\left.ln |sec (x-0.25π)+ tan (x-0.25π)|\right|_0^{0.5π}##
 
  • #10
N.B. one can also use the Weierstrass ##t=\tan{x/2}## on the integral in #6, i.e. with$$\frac{dt}{dx} = \frac{1}{2} \sec^2{(x/2)} = \frac{1}{2}(1+t^2), \quad \sin{x} = \frac{2t}{1+t^2},\quad \cos{x} = \frac{1-t^2}{1+t^2}$$
 
  • Like
Likes   Reactions: chwala
  • #11
is post ##9## correct?
 
  • #12
1610040750632.png
 
  • #13
1610042294281.png


yep, i nailed it bingo! Africa power...
 
  • Like
Likes   Reactions: Delta2
  • #14
pasmith said:
Hint: [tex] \begin{align*}<br /> \cos(x - \tfrac{\pi}4) &= \frac1{\sqrt 2}(\cos x + \sin x) \\<br /> \sin(x + \tfrac{\pi}4) &= \frac1{\sqrt 2}(\cos x + \sin x)<br /> \end{align*}[/tex]

aaarrgh i have always known this, i guess my brain was off at the time...
 
  • #15
chwala said:
Never seen this identity...how did you arrive at it?I would like to see how it was derived or reference
##cos (m+p)=cosmcosp-sinmsinp##
if ##p=45^0##...then we end up getting your hint indicated in your post ##2##.
I know this very well, cheers
 

Similar threads

  • · Replies 1 ·
Replies
1
Views
2K
  • · Replies 5 ·
Replies
5
Views
3K
  • · Replies 9 ·
Replies
9
Views
2K
  • · Replies 15 ·
Replies
15
Views
2K
  • · Replies 20 ·
Replies
20
Views
3K
  • · Replies 14 ·
Replies
14
Views
3K
  • · Replies 6 ·
Replies
6
Views
2K
  • · Replies 2 ·
Replies
2
Views
2K
Replies
3
Views
2K
Replies
19
Views
2K