Integration of the Maxwell Speed Distribution

Click For Summary

Discussion Overview

The discussion revolves around the integration of the Maxwell speed distribution, focusing on the normalization of the probability distribution and the integration process for kinetic energy. Participants explore various approaches to solving the integration and address potential errors in the normalization factor.

Discussion Character

  • Technical explanation
  • Debate/contested
  • Mathematical reasoning

Main Points Raised

  • Some participants seek assistance with the integration formula for the Maxwell speed distribution and express uncertainty about the error function.
  • Others point out that the definite integral suggested does not sum to 1, raising concerns about normalization.
  • A participant references a specific equation (7.22) as providing the speed distribution, questioning the need for further derivation.
  • There is a discussion about using a dimensionless variable for integrating between energy levels and how this relates to the distribution of speeds.
  • Some participants emphasize the importance of including the normalization factor in the speed distribution function.
  • Several participants express the belief that the omission of the normalization factor in a referenced solution is a mistake.
  • One participant suggests that integrating the expression for the speed distribution from 0 to infinity should yield a result equal to 1, implying that the normalization factor is indeed necessary.
  • A later reply indicates that the numbers have become equivalent after further discussion and clarification.

Areas of Agreement / Disagreement

Participants generally disagree on the handling of the normalization factor, with some asserting that it has been omitted in certain calculations while others believe it is accounted for. The discussion remains unresolved regarding the correctness of the integration and normalization processes.

Contextual Notes

Limitations include potential misunderstandings about the normalization factor and its role in the probability distribution, as well as unresolved mathematical steps in the integration process.

TeslaPow
Messages
40
Reaction score
1
Need some help on how to solve the integration formula for Maxwell speed distribution, here is the procedure on
how to solve for the kinetic energy:

maxwell_kinetic.jpg

Not familiar with the error function yet, but the result for the kinetic energy integration is:

https://www.wolframalpha.com/input/?i=d/du(erf(sqrt(u))-2/(sqrt(pi))*sqrt(u)*e^(-u))

How to go on about solving for the speed distribution is the topic for this problem.

http://integral-table.com/

maxwell_speed.jpg
 
Last edited:
Physics news on Phys.org
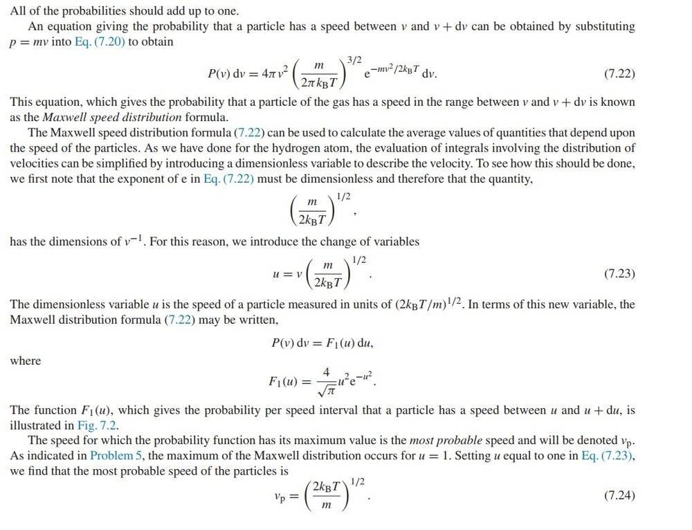
What do you mean by "solving for the speed distribution"? That's given in equation 7.22.
 
Trying to use the dimensionless variable u in the same manner as in the calculation for integrating between two energy levels as for the distribution of speeds. If I pick a random gas with different velocities and integrate between these, the numbers don't turn up the same.

For energy integral you can use u = K/E, and integrate between energy levels. As it is an probability distribution, all of the probabilities should add up as one in the definite integral. The answer will come out as percentage.

https://www.wolframalpha.com/input/?i=d/du(erf(sqrt(u))-2/(sqrt(pi))*sqrt(u)*e^(-u))

The definite integral for the distribution of speeds turns up as 0.443

https://www.wolframalpha.com/input/?i=d/du(-1/2+e^(-u^2)+u+++1/4+sqrt(π)+erf(u))
 
Last edited:
In response to your last line, don't you see in your first post that there is a factor of ## \frac{4}{\sqrt{\pi}} ## in the speed distribution function? It thereby is properly normalized.
 
  • Like
Likes   Reactions: etotheipi
Charles Link said:
In response to your last line, don't you see in your first post that there is a factor of ## \frac{4}{\sqrt{\pi}} ## in the speed distribution function? It thereby is properly normalized.

Here's an example, why is it excluded here ?

dimensionless.jpg
 
Last edited:
Without studying it in great detail, I think they goofed. They need to include the normalization factor.
 
  • Like
Likes   Reactions: etotheipi
Charles Link said:
Without studying it in great detail, I think they goofed. They need to include the normalization factor.

In the text, for equation 7.23, it says that the normalization factor is taken into account. v^(-1)
 
TeslaPow said:
In the text, for equation 7.23, it says that the normalization factor is taken into account. v^(-1)
In the solution presented, they integrate ##u^2 \exp(-u^2)##, then say that the result is the probability. This is incorrect, as they forgot the normalization factor. The correct probability is the result they obtained multiplied by ##4/\sqrt{\pi}##, which is 0.0277.
 
  • Like
Likes   Reactions: etotheipi and Charles Link
  • #11
Look at your "link" in at the bottom of post 4. That one has it right for the speed distribution, where at the bottom of the "link" they compute the integral from ## 0 ## to ## + \infty ##, and the inverse of that is the normalization factor.
If you look at your first post between 7.23 and 7.24, they also have the correct expression for ## F_1(u) ##.
 
Last edited:
  • #12
Dr. Claude and Charles have both pointed out that the book made a mistake by omitting the normalization constant, but for whatever reason, you don't seem to accept that as the reason. It may help to work the problem out by hand. Just integrate the expression given for ##F_1(u)## from 0 to ##\infty##, and you'll see the result is equal to 1. You can do it by integrating by parts. Or can you explain why you just keep repeating your original question, which already has been answered? In other words, what's your real question?

Also, if you take the expression for ##d\rho## and actually do the change of variables mentioned in the text, you'll get the expression given for ##F_1##.
 
  • Like
Likes   Reactions: Charles Link
  • #13
Really appreciate the help, now the numbers are equivalent.
 
  • Like
Likes   Reactions: Charles Link

Similar threads

  • · Replies 2 ·
Replies
2
Views
2K
  • · Replies 7 ·
Replies
7
Views
884
  • · Replies 2 ·
Replies
2
Views
2K
  • · Replies 3 ·
Replies
3
Views
3K
  • · Replies 1 ·
Replies
1
Views
2K
  • · Replies 19 ·
Replies
19
Views
5K
  • · Replies 1 ·
Replies
1
Views
2K
  • · Replies 5 ·
Replies
5
Views
2K
  • · Replies 3 ·
Replies
3
Views
2K
  • · Replies 3 ·
Replies
3
Views
4K