Internal Forces in Truss: Solving for AB at Point A and Point B

Click For Summary

Discussion Overview

The discussion revolves around the internal forces in a truss structure, specifically focusing on the internal force AB at points A and B. Participants are analyzing the stability of the structure and addressing the implications of internal forces and external reactions. The context includes homework-related problem-solving and technical reasoning.

Discussion Character

  • Homework-related, Technical explanation, Debate/contested

Main Points Raised

  • One participant notes that the internal forces AB at points A and B point in the same direction, questioning how they can cancel each other out and suggesting that this indicates instability and statically indeterminate conditions.
  • Another participant points out that a horizontal force reaction was not considered in the initial analysis, implying that this oversight may affect the conclusions drawn about stability.
  • A subsequent reply seeks clarification on which specific part of the analysis the horizontal force reaction pertains to, indicating a need for further explanation.
  • Another participant refers to an attachment that suggests the sum of forces in the x direction should equal zero, which may relate to the stability discussion.
  • One participant raises a question about the value of µ, noting that it is not defined in their textbook and asking about its significance in the context of the problem.

Areas of Agreement / Disagreement

Participants do not appear to reach a consensus, as there are competing views regarding the consideration of horizontal forces and the implications for stability. The discussion remains unresolved with multiple perspectives presented.

Contextual Notes

Limitations include the potential oversight of horizontal forces in the initial analysis and the undefined nature of the variable µ, which may affect the understanding of the problem.

fonseh
Messages
521
Reaction score
2

Homework Statement


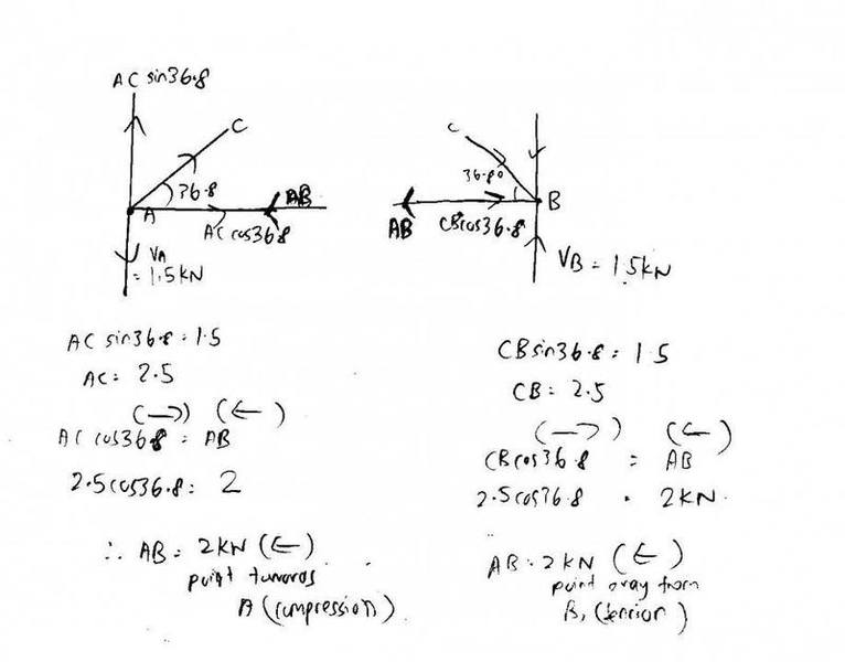
For this problem , i found that the internal force AB at point A and point B pointed in the same direction ( as shown) in my working , so , how they cancel off each other ?Since they can't cancel off each other , so they are not stable , right ? The structure is statically indeterminate ?

Homework Equations

The Attempt at a Solution


It's in the 3rd photo [/B]
 

Attachments

  • 1.jpg
    1.jpg
    25.3 KB · Views: 445
  • 2.jpg
    2.jpg
    27.3 KB · Views: 481
  • 3.jpg
    3.jpg
    28.7 KB · Views: 456
Physics news on Phys.org
you forgot to consider the horizontal force reaction.
 
  • Like
Likes   Reactions: fonseh
which
PhanthomJay said:
you forgot to consider the horizontal force reaction.
one ? which part ? Can you point out ?
 
see your first attachment , bottom of page, sum of forces in x direction = 0.
 
  • Like
Likes   Reactions: fonseh
One more question here , how to get the value of µ ? It's not stated in my textbook what is it ... And what is the usage of µ ?
 

Similar threads

  • · Replies 1 ·
Replies
1
Views
2K
  • · Replies 2 ·
Replies
2
Views
1K
  • · Replies 2 ·
Replies
2
Views
2K
  • · Replies 2 ·
Replies
2
Views
3K
Replies
3
Views
3K
  • · Replies 7 ·
Replies
7
Views
3K
  • · Replies 2 ·
Replies
2
Views
2K
  • · Replies 1 ·
Replies
1
Views
2K
  • · Replies 1 ·
Replies
1
Views
2K
  • · Replies 7 ·
Replies
7
Views
4K