Interval of uniform convergence of a series

Click For Summary

Homework Help Overview

The discussion revolves around determining the interval of uniform convergence for a given series involving a sine function and polynomial terms. Participants are exploring convergence criteria and methods, including the ratio test and Weierstrass M-test, while grappling with the implications of uniform convergence.

Discussion Character

  • Exploratory, Assumption checking, Problem interpretation

Approaches and Questions Raised

  • Participants discuss using the ratio test to find convergence conditions, questioning how to derive a radius of convergence and the implications of the sine function on the interval. There are attempts to clarify the relationship between convergence and the specific intervals being considered.

Discussion Status

There is an ongoing exploration of the conditions for uniform convergence, with some participants suggesting specific intervals while others express confusion about the requirements and options provided in their homework context. Multiple interpretations of the convergence criteria are being examined.

Contextual Notes

Participants note constraints related to the options given in their assignment, including a possible requirement for nonnegative values of x and the specific intervals that must be considered for uniform convergence.

NicolaiTheDane
Messages
100
Reaction score
10

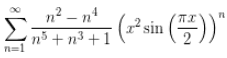
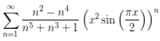
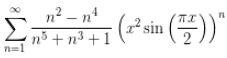
Homework Statement



The series
upload_2018-10-14_22-38-11.png
is uniformly convergent on what interval?

Homework Equations

The Attempt at a Solution


[/B]
Using the quotient test (or radio test), ##|\frac{a_{n+1}}{a_{n}}| \rightarrow |x^2*\sin(\frac{\pi \cdot x}{2})|, n \rightarrow \infty##.

However from here I'm stuck, as there seems to be no way for me to determine a radius of convergence. Furthermore even if I could find the radius, the book we are using talks about Weierstrass M-test, and several other methods of figuring out IF a sum is uniformly convergent, but none of these methods seem to yield and actual interval. Please assist.
 

Attachments

  • upload_2018-10-14_22-38-11.png
    upload_2018-10-14_22-38-11.png
    1.8 KB · Views: 829
Last edited:
Physics news on Phys.org
NicolaiTheDane said:

Homework Statement



The series View attachment 232181 is uniformly convergent on what interval?

Homework Equations

The Attempt at a Solution


[/B]
Using the quotient test (or radio test), ##|\frac{a_{n+1}}{a_{n}}| \rightarrow |x*\sin(\frac{\pi \cdot x}{2})|, n \rightarrow \infty##.

However from here I'm stuck, as there seems to be no way for me to determine a radius of convergence. Furthermore even if I could find the radius, the book we are using talks about Weierstrass M-test, and several other methods of figuring out IF a sum is uniformly convergent, but none of these methods seem to yield and actual interval. Please assist.
Using the ratio test (not radio test), the series converges if ##|\frac{a_{n+1}}{a_n}| < 1##
Because the fraction part of your problem with all the terms in n goes to 1 as n goes to ##\infty##, you need to find the interval such that ##|x^2 \sin(\frac{x\pi}2)| < 1##.
Note that you're missing the exponent on x in the work you show.
 
Mark44 said:
Using the ratio test (not radio test), the series converges if ##|\frac{a_{n+1}}{a_n}| < 1##
Because the fraction part of your problem with all the terms in n goes to 1 as n goes to ##\infty##, you need to find the interval such that ##|x^2 \sin(\frac{x\pi}2)| < 1##.
Note that you're missing the exponent on x in the work you show.

Good catch! Though I don't see how this helps me, as there'll be an infinity amount of intervals where that's the case, thus intervals being around the point where the ##\sin## goes to 0. What am I missing?
 
NicolaiTheDane said:
Good catch! Though I don't see how this helps me, as there'll be an infinity amount of intervals where that's the case, thus intervals being around the point where the ##\sin## goes to 0. What am I missing?
Where the sine factor goes to zero isn't relevant here. You can rewrite the inequality I wrote as ##|x^2| |\sin(\frac{x\pi}2)| < 1##.
What can you say about the factor with the sine expression?
What's the largest value of x that makes the inequality still true?
 
Mark44 said:
Where the sine factor goes to zero isn't relevant here. You can rewrite the inequality I wrote as ##|x^2| |\sin(\frac{x\pi}2)| < 1##.
What can you say about the factor with the sine expression?
What's the largest value of x that makes the inequality still true?

Nothing really. I mean I know that if it ##x \in ]-1,1[## its true. However I also know that its true when its somewhere around 2 (because the sin makes the whole thing get tiny, despite the polynomial growing). And it keeps it up with those intervals, just that the high the ##x## the smaller the intervals around where the sin expression gets close to 0.
 
NicolaiTheDane said:
Nothing really. I mean I know that if it ##x \in ]-1,1[## its true. However I also know that its true when its somewhere around 2 (because the sin makes the whole thing get tiny, despite the polynomial growing). And it keeps it up with those intervals, just that the high the ##x## the smaller the intervals around where the sin expression gets close to 0.
But they're asking for one interval. Also uniform convergence doesn't depend on the value of x that is chosen. Since ##|\sin(\frac{\pi x}2)| \le 1##, for any real x, I believe the interval of uniform convergence is just (-1, 1), but possibly including the endpoints.

I grant you that the series converges at x = 2 and lots of other places, but there's no interval centered at 0 that includes 2 (for example) for which the series is uniformly convergent.
 
Last edited:
Mark44 said:
But they're asking for one interval. Also uniform convergence doesn't depend on the value of x that is chosen. Since ##|\sin(\frac{\pi x}2)|##, I believe the interval of uniform convergence is just (-1, 1), and possibly including the endpoints.

I grant you that the series converges at x = 2 and lots of other places, but there's no interval centered at 0 that includes 2 (for example) for which the series is uniformly convergent.

I didn't know it required the series to be near 0. To my mind there wasn't anything to stop uniforming convergent to take place other places. In any case [-1,1] is wrong, as it isn't one of the options on my Maple TA test.

upload_2018-10-15_1-59-9.png


These are the options. Also don't I have do something else then just find the interval of ##x##? I was under the impression that I had do something else, though what I do not know.
 

Attachments

  • upload_2018-10-15_1-59-9.png
    upload_2018-10-15_1-59-9.png
    1.2 KB · Views: 408
Is there more to this problem than what you posted? If there's a requirement for x to be nonnegative, their 3rd choice matches what I said.

Also, I edited my previous post right around the same time you quoted it, so what's there now is slightly changed.
 
Mark44 said:
Is there more to this problem than what you posted? If there's a requirement for x to be nonnegative, their 3rd choice matches what I said.

Also, I edited my previous post right around the same time you quoted it, so what's there now is slightly changed.

All it says is that it uniformly convergences for one of the intervals. There is only one right answer. The 3rd option is x = [0,1[ so from and including 0 to 1. How are we neglecting the lower part of the ]-1,1[?
 
Last edited:
  • #10
NicolaiTheDane said:
All it says is that it uniformly convergences for one of the intervals. The 3rd option is x = [0,1[ so from and including 0 to 1. How are we neglecting the lower part of the [-1,1]?
I don't have any idea why they are omitting the lower half of the interval.
 
  • #11
Mark44 said:
I don't have any idea why they are omitting the lower half of the interval.

There has to be an answer. Every other question on every other assignment has included the whole interval. What the hell do I do?
 
  • #12
Mark44 said:
I don't have any idea why they are omitting the lower half of the interval.

From what I can gather, I'm suppose to use the quotient test, to find when the series convergences. This I have done. Then I'm suppose to find a majorant series, and from that I can use the M-test to conclude on which interval of x, it is uniformly convergent.

In order to do so, I'm guessing I have to conclude that [-1,1] is the bound, because including anything outside that, despite being able to find other intervals of convergence, doesn't allow for a majorant series to be found. However I have no idea what do from here.
 
  • #13
NicolaiTheDane said:
From what I can gather, I'm suppose to use the quotient test, to find when the series convergences. This I have done. Then I'm suppose to find a majorant series, and from that I can use the M-test to conclude on which interval of x, it is uniformly convergent.

In order to do so, I'm guessing I have to conclude that [-1,1] is the bound, because including anything outside that, despite being able to find other intervals of convergence, doesn't allow for a majorant series to be found. However I have no idea what do from here.

No: the bound is ##(-1,1)## (not including the points ##x = 1## and ##x = -1##). Earlier you denoted this as ##]-1,1[##.
 
Last edited:
  • #14
$$\frac{n^2-n^4}{n^5+n^3+1}*\left(x^2*\sin\left(\frac{\pi*x}{2}\right)\right)^n$$
Ray Vickson said:
No: the bound is ##(-1,1)## (not including the points ##x = 1## and ##x = -1##.

A typing mistake. Never the less that leaves 2 possibly correct answers; ##[0,1[## and ##[-1/2,1/2]##. Which also means the bound must be wrong. Again its uniform convergence, not just convergence (to be honest, frankly don't know why there's a difference in this case, but there must be.)
 
  • #15
Anyone?
 
  • #16
NicolaiTheDane said:
Anyone?
OK: I forgot you want uniform convergence, not just plain convergence.

Your series is uniformly convergent on ##[-r,r]## for any fixed ##r \in (0,1).## Therefore, among all the possible answers given, the unambiguously correct one is ##[-1/2,1/2]##.
 
  • #17
Ray Vickson said:
OK: I forgot you want uniform convergence, not just plain convergence.

Your series is uniformly convergent on ##[-r,r]## for any fixed ##r \in (0,1).## Therefore, among all the possible answers given, the unambiguously correct one is ##[-1/2,1/2]##.
Great. However that means I don't really understand uniform convergence. Does that mean uniform convergence can only happen around 0, and have an interval equally divided around 0? I have read the section on in my book like 7 times now, and I still do not understand why the deal with, in dividing the interval into "[-r,-r]" and so on.

I suppose I could ask: If an option had been there for ## x \in ]-1,1[ ## would that interval then have also been valid?
 
  • #18
NicolaiTheDane said:
Does that mean uniform convergence can only happen around 0, and have an interval equally divided around 0?
Yes, because your series involves powers of x, rather than, say, powers of x - 2.

The series pretty obviously converges at x = 0. The goal is to find an interval around x = 0 for which all the points make for a convergent series. (In your case, uniformly convergent.)
 
  • Like
Likes   Reactions: NicolaiTheDane
  • #19
Mark44 said:
Yes, because your series involves powers of x, rather than, say, powers of x - 2.

The series pretty obviously converges at x = 0. The goal is to find an interval around x = 0 for which all the points make for a convergent series. (In your case, uniformly convergent.)

I am getting beyond the assignment now, but what about around say. ##x = 2##? There is also an interval there, (don't know the bound, but it's there). Are there uniform convergence there too, or just convergence? In either case why?
 
  • #20
NicolaiTheDane said:
I am getting beyond the assignment now, but what about around say. ##x = 2##? There is also an interval there, (don't know the bound, but it's there). Are there uniform convergence there too, or just convergence? In either case why?

Around any root ##x_0## of ##\sin(\pi x_0 / 2)=0## there will be an open ##x##-interval ##(a,b)## containing ##x_0## in its interior, for which we have ##-1 < x^2 \sin(\pi x/2) < 1## for all ##x \in (a,b).## The series will be convergent in ##(a,b)##, and will also be convergent at one of the endpoints ##x=a## or ##x=b##---because if ##x^2 \sin(\pi x/2) = -1## you will have an "alternating" series, so a convergent one. However, uniform convergence requires that you stay a finite distance away from the endpoints of the interval, so you will have uniform convergence in any closed subinterval of ##(a,b)##.

For example, you have convergence on ##(-1,1)##, but for uniform convergence you need to stay away from the ends, such as in ##[-0.9999, 0.9999]## or ##[.1, .75]## or any other closed subinterval of ##(-1,1)## that you care to write.
 
  • Like
Likes   Reactions: NicolaiTheDane
  • #21
Ray Vickson said:
Around any root ##x_0## of ##\sin(\pi x_0 / 2)=0## there will be an open ##x##-interval ##(a,b)## containing ##x_0## in its interior, for which we have ##-1 < x^2 \sin(\pi x/2) < 1## for all ##x \in (a,b).## The series will be convergent in ##(a,b)##, and will also be convergent at one of the endpoints ##x=a## or ##x=b##---because if ##x^2 \sin(\pi x/2) = -1## you will have an "alternating" series, so a convergent one. However, uniform convergence requires that you stay a finite distance away from the endpoints of the interval, so you will have uniform convergence in any closed subinterval of ##(a,b)##.

For example, you have convergence on ##(-1,1)##, but for uniform convergence you need to stay away from the ends, such as in ##[-0.9999, 0.9999]## or ##[.1, .75]## or any other closed subinterval of ##(-1,1)## that you care to write.

Alright so I'm not completely lost in this. However that brings me back the solution option ##x \in [0,1[##. This then should also be have uniform convergence, as it doesn't include the end points of the convergent interval ##]-1,1[##, while staying inside it right? (Please say no, otherwise I'm to where I started)
 
  • #22
NicolaiTheDane said:
Alright so I'm not completely lost in this. However that brings me back the solution option ##x \in [0,1[##. This then should also be have uniform convergence, as it doesn't include the end points of the convergent interval ##]-1,1[##, while staying inside it right? (Please say no, otherwise I'm to where I started)

No: the convergence will not be uniform over ##[0,1[##.

For example, for a particular ##\epsilon## we may have ##|S_n -S_{\infty}| < \epsilon## for all ##n \geq 1000## and all ##x \in [0,0.9].## That is, 1000 terms may be enough as long as ##x \leq 0.9##. However, it may not be enough when ##x = 0.99,## where we may need 10,000 terms in order to get within ##\epsilon## of the final answer. For ##x = 0.999## we may need 1,000,00 terms, etc. For any ##x < 1## the series converges, so for a given ##\epsilon## we can eventually get within ##\epsilon## by taking enough terms, but uniform convergence needs a lot more than that: it allows us to say something like "1500 terms will be enough to get within 0.0001 of the answer", no matter which value of ##x## we choose. Non-uniform convergence may need differing numbers of terms for different values of ##x.##
 
  • Like
Likes   Reactions: NicolaiTheDane
  • #23
Ray Vickson said:
No: the convergence will not be uniform over ##[0,1[##.

For example, for a particular ##\epsilon## we may have ##|S_n -S_{\infty}| < \epsilon## for all ##n \geq 1000## and all ##x \in [0,0.9].## That is, 1000 terms may be enough as long as ##x \leq 0.9##. However, it may not be enough when ##x = 0.99,## where we may need 10,000 terms in order to get within ##\epsilon## of the final answer. For ##x = 0.999## we may need 1,000,00 terms, etc. For any ##x < 1## the series converges, so for a given ##\epsilon## we can eventually get within ##\epsilon## by taking enough terms, but uniform convergence needs a lot more than that: it allows us to say something like "1500 terms will be enough to get within 0.0001 of the answer", no matter which value of ##x## we choose. Non-uniform convergence may need differing numbers of terms for different values of ##x.##

So its not uniform on ##[0,1[## because by definition that interval is infinitely close to 1 (but not including 1), which would mean we'd need an ##n \geq \infty## in order to get ##|S_n-S_{\infty}| < \epsilon##? (Also isn't it ##|S_{\infty}-S_n|##?)

Sorry for banging on, but I think I'm getting it but I want to be absolutely sure, as I have been told this subject is crucial for my engineering studies as a whole.
 
  • #24
NicolaiTheDane said:
So its not uniform on ##[0,1[## because by definition that interval is infinitely close to 1 (but not including 1), which would mean we'd need an ##n \geq \infty## in order to get ##|S_n-S_{\infty}| < \epsilon##? (Also isn't it ##|S_{\infty}-S_n|##?)

Sorry for banging on, but I think I'm getting it but I want to be absolutely sure, as I have been told this subject is crucial for my engineering studies as a whole.

There is no such a thing as ##n \geq \infty##: that is not what ##S_{\infty}## means. You get ##S_{\infty}## as a limit of ##S_n## when ##n## increases without bound (usually denoted by ##n \to \infty##) but there is no infinity anywhere. We do not actually add up infinitely many terms; we just keep on adding more and more terms, and look at whether the resulting finite sums are approaching a finite limit as we pile on more terms

Because of the absolute value, ##|S_{\infty}-S_n| = |S_n - S_{\infty}|,## so you are entitled to write it in whichever way appeals to you personally.
 
  • #25
Ray Vickson said:
There is no such a thing as ##n \geq \infty##: that is not what ##S_{\infty}## means. You get ##S_{\infty}## as a limit of ##S_n## when ##n## increases without bound (usually denoted by ##n \to \infty##) but there is no infinity anywhere. We do not actually add up infinitely many terms; we just keep on adding more and more terms, and look at whether the resulting finite sums are approaching a finite limit as we pile on more terms

Because of the absolute value, ##|S_{\infty}-S_n| = |S_n - S_{\infty}|,## so you are entitled to write it in whichever way appeals to you personally.

Okay that wasn't entirely what I meant. I tried to make an argument for why [0,1[ didn't work, extrapolating from your explanation. That being that getting infinitely close to 1, as the interval ##I \in [0,1[## implies, would require ## n \geq \infty## for there to be uniform convergence on ##I##. As you pointed out there, and I kinda took for granted, there is no so such thing, and therefore no uniform convergence on ##I##. I'm trying to find a way of thinking about it, that I can use in other contexts. Is that argument your reasoning for why [0,1[ doesn't work?

Or is it simply that the interval is open, instead of closed?

The rest I'm onboard was, and you are right about the absolute making those two equal, so that was just me being a derp.
 

Similar threads

  • · Replies 2 ·
Replies
2
Views
2K
  • · Replies 7 ·
Replies
7
Views
3K
Replies
26
Views
3K
  • · Replies 5 ·
Replies
5
Views
2K
  • · Replies 4 ·
Replies
4
Views
2K
  • · Replies 2 ·
Replies
2
Views
2K
  • · Replies 3 ·
Replies
3
Views
2K
  • · Replies 1 ·
Replies
1
Views
2K
  • · Replies 11 ·
Replies
11
Views
3K
  • · Replies 4 ·
Replies
4
Views
2K