Inverse Laplace transform of a rational function

Click For Summary
SUMMARY

The discussion centers on the inverse Laplace transform of the rational function $$F(p)= 2^n a^n \frac{p^{n-1}}{(p+a)^{2n}}$$ for positive values of $$a$$. The user finds that the result provided by WolframAlpha, $$f(t)= 2^n a^n t^n \frac{_1F_1 (2n;n+1;-at)}{\Gamma(n+1)}$$, is valid only for small $$n$$ (less than 50). For larger $$n$$, discrepancies arise in the output, leading to confusion about the legitimacy of the hypergeometric function's application. The user also explores alternative methods using a Laplace transform handbook, but encounters issues with Matlab's derivative calculations for $$n>30$$.

PREREQUISITES
  • Understanding of inverse Laplace transforms
  • Familiarity with hypergeometric functions, specifically the confluent hypergeometric function $$ _1F_1 $$
  • Proficiency in using Matlab for mathematical computations
  • Knowledge of differential operators and their applications in Laplace transforms
NEXT STEPS
  • Research the properties and applications of the confluent hypergeometric function $$ _1F_1 $$
  • Learn about advanced techniques in Laplace transforms, including the exponential shift theorem
  • Explore numerical methods for calculating derivatives in Matlab for large $$n$$ values
  • Study the binomial-like identities in the context of differential operators and their relevance to Laplace transforms
USEFUL FOR

Mathematicians, engineers, and students dealing with complex analysis, particularly those focused on Laplace transforms and hypergeometric functions.

room_
Messages
11
Reaction score
0
TL;DR
I struggle to find an appropriate inverse Laplace transform of the following
$$ 2^n a^n \frac{p^{n-1}}{(p+a)^{2n}}, \quad a>0$$
I struggle to find an appropriate inverse Laplace transform of the following
$$F(p)= 2^n a^n \frac{p^{n-1}}{(p+a)^{2n}}, \quad a>0.$$
WolframAlpha gives as an answer
$$f(t)= 2^n a^n t^n \frac{_1F_1 (2n;n+1;-at)}{\Gamma(n+1)}, \quad (_1F_1 - \text{confluent hypergeometric function})$$
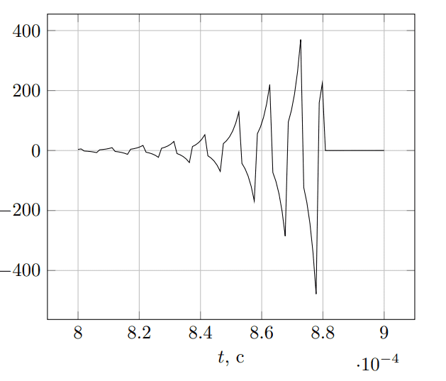
which seem to work for my original problem, but only for small ##n## (<50). Whenever I go close or above 50 (I use Matlab to plot things) the outcome gets bizarre (##n=50##):
1588415462101.png
although the actual simulation result (the process which is described by ##F(p)##) looks as it meant to be, smoothly getting to the shape on the following figure (##n=49##).
multisim_7ZsTbSMGZA.png
Therefore I conclude there is something wrong with the ##f(t)## given out by Wolfram. Using the Laplace transform handbook (russian one, idk if it's reasonable to link) the best I could do was$$\hat{F}(p)= 2^n a^n \frac{p^{n}}{(p+a)^{2n}} \div \frac{2^n a^n}{\Gamma(2n)}\frac{d^{n-1}}{dt^{n-1}}(e^{-at}t^{2n-1})=\hat{f}(t), $$
since (as the handbook suggests)
$$ \left( \frac{p}{p+1} \right)^{n+1}\frac{1}{(p+1)^a}\div \frac{n!}{\Gamma(n+a+1)}e^{-t}t^a L_n^a(t), \ L_n^a(t)=\frac{e^tt^{-a}}{n!}\frac{d^n}{dt^n} (e^{-t}t^{n+a}),$$
which I'm not sure is legitimate to use (because of ##n+1## power), yet it yields somewhat fine solution for my original problem (which is strange, because obviously ##F(p)\ne \hat{F}(p)##). I tried to plot it, and for small ##n## it is fine, but Matlab refuses to calculate the derivative (it spits out 0) for ##n>30##, so I cannot check whether it really suits. So my question is whether the Wolfram answer is wrong. I'm not really familiar with the confluent hypergeometric function, so I don't know how to interpret the outcome. What would you suggest to calculate the ##F(p)##? Is it even possible to do in elementary functions? I'd appreciate any help in the solution. I am aware of possibility that my reasoning is wrong, so in case of that let me know. Thank you for help!
 
Physics news on Phys.org
Well, this will not answer all your queries: but it’ll give you somewhere to start.

From the definition of ##_1F_1## here (with p=q=1) $$f(t)= 2^n a^n t^n \frac{_1F_1 (2n;n+1;-at)}{\Gamma(n+1)} = \tfrac{2^n a^n t^n}{\Gamma(n+1)}\sum_{k=0}^{\infty}(-1)^k \tfrac{\left( 2n\right) _{k}}{\left( n+1\right) _{k}k!}a^k t^k$$

where ##(a)_{k}:= \tfrac{\Gamma (a+k)}{\Gamma (a)}## is a pochhammer symbol (there are some otherwise defined for different domains and a simplification on that page).

I encourage you to write out that ##\tfrac{d^{n-1}}{dt^{n-1}}(\cdots )## product rule as the binomial-like identity in terms of the sum of powers of differential operators (on this page) for the inverse Laplace transform you had and see if it’s not equivalent to- or a truncated form of- the wolfram confluent hypergeometric Function above. GL.
 
  • Informative
Likes   Reactions: room_
Thank you for your response.
benorin said:
I encourage you to write out that ##\tfrac{d^{n-1}}{dt^{n-1}}(\cdots )## product rule as the binomial-like identity in terms of the sum of powers of differential operators
I had and idea to write it out using exponential shift theorem, so here is my reasoning
$$
\frac{d^{n-1}}{dt^{n-1}} (e^{-\omega_c t}t^{2n-1}) = D^{n-1}(e^{-\omega_c t}t^{2n-1})=
e^{-\omega_c t}(D-\omega_c)^{n-1} t^{2n-1} = \\
= e^{-\omega_c t}\sum_{k=0}^{n-1}(-1)^{n-1-k}\omega_c^{n-1-k}C_{n-1}^{k}D^{k}t^{2n-1} = \\
= e^{-\omega_c t}\sum_{k=0}^{n-1}(-1)^{n-1-k}\omega_c^{n-1-k}C_{n-1}^{k} (2n-1)\ldots (2n-k)t^{2n-1-k},
$$
where ##C_{n-1}^{k}## are binomial coefficients. Doesn't seem equivalent to ##_1F_1##.
 

Similar threads

  • · Replies 8 ·
Replies
8
Views
4K
  • · Replies 4 ·
Replies
4
Views
3K
  • · Replies 2 ·
Replies
2
Views
4K
  • · Replies 3 ·
Replies
3
Views
3K
  • · Replies 2 ·
Replies
2
Views
2K
  • · Replies 2 ·
Replies
2
Views
1K
  • · Replies 6 ·
Replies
6
Views
4K
Replies
1
Views
2K
  • · Replies 2 ·
Replies
2
Views
2K
  • · Replies 7 ·
Replies
7
Views
4K