Is There a Simple Solution for This Integral?

  • Context: Undergrad 
  • Thread starter Thread starter MathewsMD
  • Start date Start date
  • Tags Tags
    Integration
Click For Summary

Discussion Overview

The discussion revolves around the integral \(\int {[(y-1)^3 + C]^{-1/2}}dy\), exploring potential methods for solving it. Participants consider various techniques including integration by parts, trigonometric substitution, and the possibility of elliptic integrals, while expressing uncertainty about the simplicity and effectiveness of these approaches.

Discussion Character

  • Exploratory
  • Mathematical reasoning
  • Debate/contested

Main Points Raised

  • One participant suggests that integration by parts does not seem helpful and considers trigonometric substitution, though they anticipate it will be messy.
  • Another participant presents a partial solution but notes that it is not fully simplified and requests further assistance.
  • Several participants emphasize the importance of verifying antiderivatives by differentiation to confirm correctness.
  • Some participants argue that trigonometric substitution may not be suitable due to the presence of a cube in the integrand, suggesting that it is more effective for sums or differences of squares.
  • One participant proposes that the integral might be approached using elliptic integrals, indicating a different direction for potential solutions.

Areas of Agreement / Disagreement

Participants express differing opinions on the appropriateness of trigonometric substitution for this integral, with some believing it is not suitable while others consider it a potential method. The discussion remains unresolved regarding the best approach to simplify the integral.

Contextual Notes

Participants note that the clarity of some solutions is hindered by incomplete images and that the problem's coefficients complicate finding a straightforward solution.

MathewsMD
Messages
430
Reaction score
7
for the problem:

[tex]\int {[(y-1)^3 + C]^{-1/2}}dy[/tex]

Is there a simple solution that can yield an answer? C is a constant. Integration by parts doesn't seem to look helpful (at least to me). Trigonometric substitution looks like one method that would work, though it would involve quite a bit of substitution and it appears it will be messy. Are there any other methods that are simpler and would work well?
 
Physics news on Phys.org
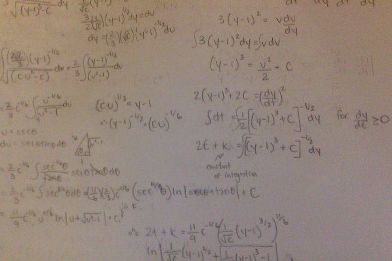
Here's my solution. I think it suffices in saying that the answer isn't exactly as simplified as it should be. The top is kind of cut out, but it reads

[tex]\frac {1}{c^{1/2}}(y - 1)^{3/2} = u[/tex]

Any help with regards to finding a simpler solution would be greatly appreciated!
 

Attachments

  • calc.jpg
    calc.jpg
    35.1 KB · Views: 487
Last edited:
And the bottom is cut off as well.

You can always verify that an antiderivative is correct by differentiating it. If you wind up with the integrand, then all is well.
 
Mark44 said:
And the bottom is cut off as well.

You can always verify that an antiderivative is correct by differentiating it. If you wind up with the integrand, then all is well.

The bottom is merely substitution. Yes, verifying with the antiderivative to see if it a solution is one possibility, but I was wondering for a question like this, if there was another method besides trigonometric substitution that would help simplify the integration. Any help is greatly appreciated!
 
This problem doesn't lend itself easily to a trig substitution, IMO. That type of substitution is most useful when you have a sum or difference of squares, raised to some power. Having a cube in there as you do makes a trig sub less promising. Maybe you can make it work, treating it as a sum of squares -- [(y + 1)3/2]2 + (sqrt(C))2

And maybe that's what you did, but without being able to see it all, I didn't put any time into checking.
 
Mark44 said:
This problem doesn't lend itself easily to a trig substitution, IMO. That type of substitution is most useful when you have a sum or difference of squares, raised to some power. Having a cube in there as you do makes a trig sub less promising. Maybe you can make it work, treating it as a sum of squares -- [(y + 1)3/2]2 + (sqrt(C))2

And maybe that's what you did, but without being able to see it all, I didn't put any time into checking.

Sorry, I thought I posted this earlier...there must have been some kind of mess-up on my part. This is what I was referring to as revised. The solution doesn't seem to be easily solvable for its coefficients, and trig substation, although messy, seems like the only elementary way to go about the problem, no?
 

Attachments

  • soln.jpg
    soln.jpg
    32.2 KB · Views: 462
  • soln2.jpg
    soln2.jpg
    31.1 KB · Views: 476
The first attached image, soln.jpg, is blurry and unreadable in part. The second image, soln2.jpg, is cut off again.
 

Similar threads

  • · Replies 6 ·
Replies
6
Views
3K
  • · Replies 6 ·
Replies
6
Views
3K
  • · Replies 8 ·
Replies
8
Views
4K
  • · Replies 5 ·
Replies
5
Views
2K
  • · Replies 11 ·
Replies
11
Views
3K
  • · Replies 2 ·
Replies
2
Views
3K
  • · Replies 6 ·
Replies
6
Views
2K
  • · Replies 1 ·
Replies
1
Views
3K
  • · Replies 5 ·
Replies
5
Views
3K
  • · Replies 4 ·
Replies
4
Views
3K