Lagrangian: How did they get from this step to the other?

  • Thread starter Thread starter unscientific
  • Start date Start date
  • Tags Tags
    Lagrangian
Click For Summary
SUMMARY

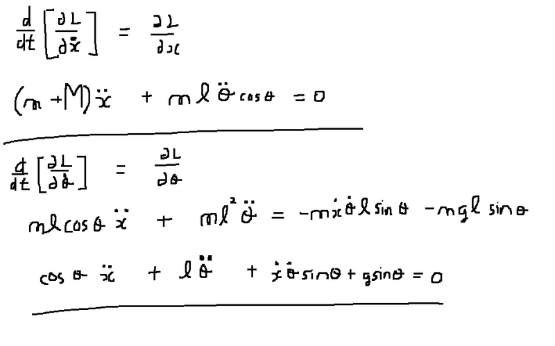
The discussion focuses on the derivation of terms in the Lagrangian mechanics equation, specifically addressing the confusion surrounding the third term in equation 5.192. Participants clarify that the term arises from differentiating the mℓ̇θcos(θ) component, which includes two instances of θ, leading to two distinct terms. The conversation emphasizes the importance of understanding how each term contributes to the overall equation, particularly in relation to the variables involved.

PREREQUISITES
  • Understanding of Lagrangian mechanics
  • Familiarity with calculus, particularly partial differentiation
  • Knowledge of the variables involved in the Lagrangian formulation
  • Basic grasp of angular motion and its representation in physics
NEXT STEPS
  • Study the derivation of the Euler-Lagrange equation in Lagrangian mechanics
  • Explore the implications of partial derivatives in physics problems
  • Learn about the role of angular momentum in Lagrangian systems
  • Investigate the application of Lagrangian mechanics in complex systems
USEFUL FOR

Students of physics, particularly those studying classical mechanics, educators teaching Lagrangian dynamics, and researchers interested in advanced mechanics applications.

unscientific
Messages
1,728
Reaction score
13

Homework Statement


wi7wg9.png

Homework Equations


The Attempt at a Solution


I don't understand where the third term from the first equation of 5.192 come about.. as clearly L doesn't depend on x at all, so ∂L/∂x should be zero.

sc75p1.png
 
Last edited:
Physics news on Phys.org
The second and third terms both come from differentiating the [itex]m\ell\dot{\theta}\cos{\theta}[/itex] term...you get two terms because there are two [itex]\theta[/itex]'s in it.
 
Last edited:
Chopin said:
The second and third terms both come from differentiating the [itex]m\ell\dot{\theta}\cos{\theta}[/itex] term...you get two terms because there are two [itex]\theta[/itex]'s in it.

ah that makes sense! thanks a lot!
 

Similar threads

Replies
5
Views
2K
  • · Replies 2 ·
Replies
2
Views
2K
  • · Replies 24 ·
Replies
24
Views
3K
  • · Replies 5 ·
Replies
5
Views
2K
  • · Replies 1 ·
Replies
1
Views
2K
Replies
5
Views
3K
  • · Replies 5 ·
Replies
5
Views
3K
Replies
25
Views
4K
Replies
7
Views
4K
Replies
3
Views
2K