Landau Theory - Order parameter- Extensive or intensive?

Click For Summary
SUMMARY

The discussion centers on the classification of the order parameter ##\phi(x)## and magnetization ##M## as either intensive or extensive properties in the context of Landau Theory. It is established that free energy is extensive, but the classification of ##\phi(x)## remains ambiguous, with some sources indicating it is intensive while others suggest it is extensive. The external field ##H## is confirmed as intensive, leading to the conclusion that ##M##, being its conjugate variable defined by ##M=\frac{\partial A}{\partial H}##, is extensive.

PREREQUISITES
  • Understanding of intensive and extensive properties in thermodynamics
  • Familiarity with Landau Theory and order parameters
  • Knowledge of free energy concepts and their implications
  • Basic grasp of conjugate variables in thermodynamic systems
NEXT STEPS
  • Research the definitions and implications of intensive vs. extensive properties in thermodynamics
  • Study the mathematical formulation of Landau Theory and its applications
  • Explore the role of conjugate variables in thermodynamic equations
  • Investigate the specific forms of the function ##W(\phi)## and its impact on order parameters
USEFUL FOR

Students and researchers in physics, particularly those studying thermodynamics, Landau Theory, and phase transitions, will benefit from this discussion.

binbagsss
Messages
1,291
Reaction score
12

Homework Statement


[/B]
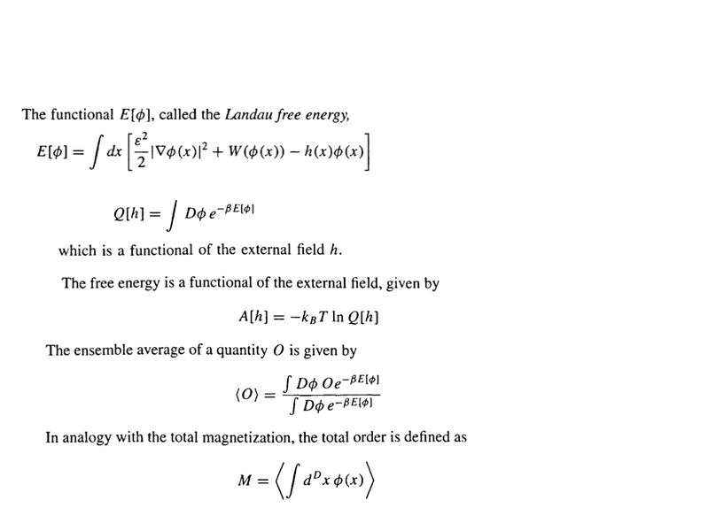
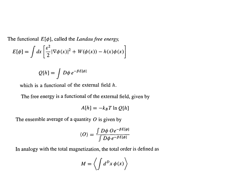
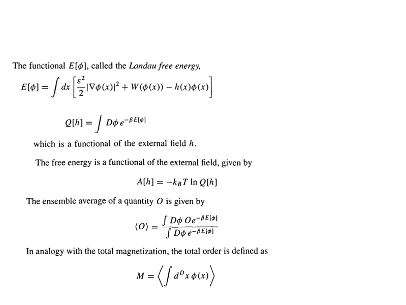
1) Is the order paramter ##\phi(x)## intensive or extensive?
2) Is ##M## intensive or extensive?

With the following definitions :

defssssssss.png

Homework Equations



The Attempt at a Solution



1) Free energy is extensive, however I don' think I can use this to deduce whether ##\phi(x)## is intensive or extensive via (1) since it will depend on the exact form of ##W(\phi)##

Some texts say it's intensive and others extensive.

For example :

text2.png
text1.png


2) I believe ##H## the external field is intensive; and so since ##M## is it's conjugate variable via ##M=\frac{\partial A}{\partial H}## , ##M## must be extensive?

Any help much appreciated.
 
Physics news on Phys.org
Say you have a block of material and you measure the magnetization to have a certain magnitude. Now you cut up the block into n equal pieces. Does the magnetization of each piece equal the magnetization of the whole block divided by n? If so it is extensive. Does the magnetization of each piece equal the magnetization of the whole block? If so it is intensive. Ask yourself the same questions by imagining that you could measure the order parameter.
 
binbagsss said:

Homework Statement


[/B]
1) Is the order paramter ##\phi(x)## intensive or extensive?
2) Is ##M## intensive or extensive?

With the following definitions :

View attachment 204112

Homework Equations



The Attempt at a Solution



1) Free energy is extensive, however I don' think I can use this to deduce whether ##\phi(x)## is intensive or extensive via (1) since it will depend on the exact form of ##W(\phi)##

Some texts say it's intensive and others extensive.

For example :

View attachment 204111 View attachment 204110

2) I believe ##H## the external field is intensive; and so since ##M## is it's conjugate variable via ##M=\frac{\partial A}{\partial H}## , ##M## must be extensive?

Any help much appreciated.
Fred Wright said:
Say you have a block of material and you measure the magnetization to have a certain magnitude. Now you cut up the block into n equal pieces. Does the magnetization of each piece equal the magnetization of the whole block divided by n? If so it is extensive. Does the magnetization of each piece equal the magnetization of the whole block? If so it is intensive. Ask yourself the same questions by imagining that you could measure the order parameter.

intensive.
 

Similar threads

Replies
3
Views
3K
  • · Replies 1 ·
Replies
1
Views
2K
  • · Replies 5 ·
Replies
5
Views
3K
Replies
7
Views
3K
Replies
1
Views
528
  • · Replies 1 ·
Replies
1
Views
2K
  • · Replies 14 ·
Replies
14
Views
5K
  • · Replies 3 ·
Replies
3
Views
1K
Replies
3
Views
2K
  • · Replies 26 ·
Replies
26
Views
2K