Laplace & Inverse Laplace transforms

Click For Summary

Homework Help Overview

The discussion revolves around the application of Laplace transforms to solve a given equation. Participants are examining the correctness of the original poster's (OP) attempts and comparing them to provided solutions.

Discussion Character

  • Mixed

Approaches and Questions Raised

  • The OP describes their method involving partial fractions and questions the validity of their solution compared to the professor's. Some participants point out specific errors in the OP's factorization and logic.

Discussion Status

The discussion is ongoing, with participants identifying faults in the OP's work and raising concerns about the implications of incorrect factorization. There is a focus on clarifying the mathematical reasoning behind the Laplace transform process.

Contextual Notes

Participants are addressing potential misunderstandings related to the properties of polynomials and their implications for the Laplace transform method. The OP's original problem statement is not fully detailed, which may affect the discussion.

Cocoleia
Messages
293
Reaction score
4

Homework Statement


I am given this equation:
upload_2018-1-18_16-39-58.png

and asked to solve using Laplace transforms

The Attempt at a Solution


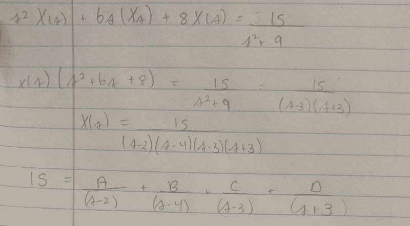
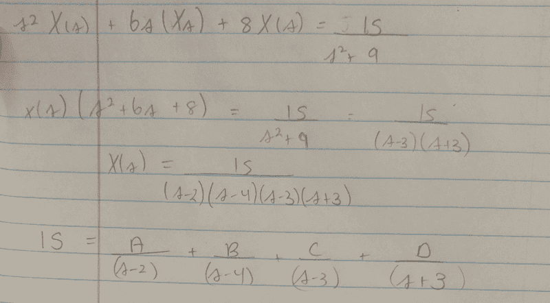
This is what I did:
upload_2018-1-18_16-41-29.png

upload_2018-1-18_16-41-56.png

This seemed logical to me, I used partial fractions and it stayed pretty simple.

This is what the solutions my prof posted do:
upload_2018-1-18_16-42-33.png


Is my answer equivalent to this, or are their faults in my logic and work ?
 

Attachments

  • upload_2018-1-18_16-39-58.png
    upload_2018-1-18_16-39-58.png
    3.2 KB · Views: 950
  • upload_2018-1-18_16-41-29.png
    upload_2018-1-18_16-41-29.png
    52.6 KB · Views: 1,110
  • upload_2018-1-18_16-41-56.png
    upload_2018-1-18_16-41-56.png
    63.7 KB · Views: 973
  • upload_2018-1-18_16-42-33.png
    upload_2018-1-18_16-42-33.png
    21.6 KB · Views: 1,488
Physics news on Phys.org
One problem I can see with your work is where you write:
upload_2018-1-18_17-12-40.png

##(s^2 + 9) \neq (s - 3)(s + 3)##
 

Attachments

  • upload_2018-1-18_17-12-40.png
    upload_2018-1-18_17-12-40.png
    3.3 KB · Views: 471
Also,
s^2 + 6s + 8 does not factor to (s-2)(s-4). Poles in the rt-hand plane are bad business!
 
Cocoleia said:

Homework Statement


I am given this equation:
View attachment 218670
and asked to solve using Laplace transforms

The Attempt at a Solution


This is what I did:
View attachment 218671
View attachment 218672
This seemed logical to me, I used partial fractions and it stayed pretty simple.

This is what the solutions my prof posted do:
View attachment 218673

Is my answer equivalent to this, or are their faults in my logic and work ?
Their (sic) are faults in your work ...
 

Similar threads

Replies
5
Views
3K
  • · Replies 3 ·
Replies
3
Views
3K
  • · Replies 10 ·
Replies
10
Views
3K
Replies
10
Views
4K
Replies
7
Views
6K
  • · Replies 4 ·
Replies
4
Views
2K
  • · Replies 2 ·
Replies
2
Views
2K
  • · Replies 1 ·
Replies
1
Views
1K
  • · Replies 2 ·
Replies
2
Views
2K
  • · Replies 8 ·
Replies
8
Views
4K