Laplace transform of an expression using transform tables

Click For Summary

Discussion Overview

The discussion revolves around finding the Laplace transform of a specific expression using transformation tables and conversion formulas. Participants are focused on the correctness of the algebraic manipulations involved in deriving the final result.

Discussion Character

  • Technical explanation
  • Debate/contested

Main Points Raised

  • One participant proposes that "1" is equivalent to the unit step function, whose Laplace transform is 1/s.
  • Another participant asserts that the Laplace transforms are correct but identifies an error in the algebra following the transformations.
  • A later reply suggests that the numerator should only yield "10" instead of "2s+10," indicating a potential misunderstanding in the algebraic steps.
  • Subsequent responses point out recurring mistakes in the numerator, specifically at the beginning of the second line of the expression.
  • One participant expresses satisfaction with the corrections made, indicating that the result looks good now.
  • Another participant confirms that the final result is correct.

Areas of Agreement / Disagreement

There is no consensus on the correctness of the initial algebraic manipulations, as multiple participants identify errors. However, there is agreement that the final result appears correct after corrections were made.

Contextual Notes

Limitations include unresolved algebraic steps and potential misunderstandings regarding the transformation process. The discussion does not clarify all assumptions made during the algebraic manipulations.

PainterGuy
Messages
938
Reaction score
73
TL;DR
I was working to find Laplace transform using the table and wanted to know that if my final result is correct
Hi,

I 'm trying to find the Laplace transform of the following expression.
1587364477947.png


I used the following conversion formulas.
I think "1" is equivalent to unit step function who Laplace transform is 1/s.
1587364605853.png


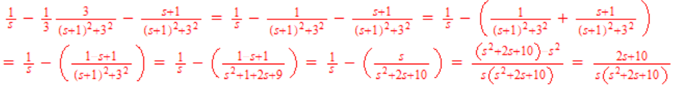
I ended up with the following final Laplace transform.
1587364834778.png


Is my final result correct? Thank you for the help!
 
Last edited by a moderator:
Physics news on Phys.org
Your Laplace transforms are correct, but not your subsequent algebra. The last term in the first (red) line is where the error appears.
 
  • Like
Likes   Reactions: PainterGuy
DrClaude said:
The last term in the first (red) line is where the error appears.

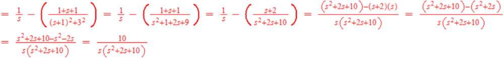
I tried to fix the error. Could you please give it a look? For some reason, I think that in the numerator I should only get "10" and not "2s+10".

1587371218734.png
 
You make the same mistake in the numerator, now at the beginning of the second line.
 
DrClaude said:
You make the same mistake in the numerator, now at the beginning of the second line.

Sorry!

It looks good now.
1587372103691.png
 
Correct!
 
  • Like
Likes   Reactions: PainterGuy

Similar threads

  • · Replies 1 ·
Replies
1
Views
2K
  • · Replies 8 ·
Replies
8
Views
4K
  • · Replies 3 ·
Replies
3
Views
3K
  • · Replies 2 ·
Replies
2
Views
4K
  • · Replies 4 ·
Replies
4
Views
3K
  • · Replies 5 ·
Replies
5
Views
3K
  • · Replies 1 ·
Replies
1
Views
3K
  • · Replies 2 ·
Replies
2
Views
2K
  • · Replies 1 ·
Replies
1
Views
1K
Replies
1
Views
2K