Laplace transformation problem

Click For Summary

Homework Help Overview

The discussion revolves around the Laplace transformation of the function L{4u(t-τ)cos(2t)}, where u(t-τ) represents the unit step function. Participants are exploring the application of Laplace transforms in the context of trigonometric functions and unit step functions.

Discussion Character

  • Exploratory, Mathematical reasoning, Assumption checking

Approaches and Questions Raised

  • Participants are attempting to apply the Laplace transform to the given function, discussing the components involved, such as the unit step function and the cosine function. Questions arise regarding the derivation of certain terms and the correctness of the transformations applied.

Discussion Status

The discussion is ongoing, with participants sharing their attempts and seeking clarification on specific aspects of the transformation process. Some guidance has been offered regarding the correctness of terms, but there is no explicit consensus on the final answer yet.

Contextual Notes

There are indications of confusion regarding the variables used in the final expressions and the notation for the Laplace transform. Participants are also questioning the periodic properties of trigonometric functions in relation to their transformations.

jamshaid
Messages
6
Reaction score
0

Homework Statement



L{4u(t-ர)cos2t}

Homework Equations



I have used UNIT STEP FUNCTION but could not get the result

The Attempt at a Solution

 
Physics news on Phys.org
What did you get? Show your work, not just your final result from your attempt.
 
L{4u(t-ர)cos2t
f(t) = cos2t
F(s) = s/ s^2+4
therefore

4s e^-ர(cosர + sinர)/s^2 +4 Ans
________________________________
that is my work
 
jamshaid said:
L{4u(t-ர)cos2t
f(t) = cos2t
F(s) = s/ s^2+4
therefore

4s e^-ர(cosர + sinர)/s^2 +4 Ans
________________________________
that is my work

Where is the factor the of [itex]4e^{-\tau}(\sin\tau+\cos\tau)[/itex] coming from? What rule are you trying to apply here?
 
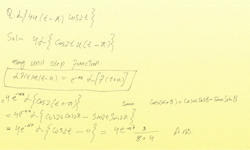
here is my solve, if I have done correctly.
laplace.gif
 
Please expert help me.
 
Unfortunately, I find your handwriting a bit hard to read. Could you type out your final answer?
 
jamshaid said:
here is my solve, if I have done correctly.
View attachment 28107

It looks good to me (although you have a very strange way of writing [itex]\pi[/itex]). On a side note, since trig functions are [itex]2\pi[/itex] periodic, you should have immediately recognized that [itex]\cos(2t+2\pi)=\cos(2t)[/itex] without appealing to a trig identity.
 
I think the exponential term in the front incorrectly has an a in it rather than s.
 
  • #10
here is my final Answer
4e^(-as) s/(s^(2) + 4)

what do you think...
 
  • #11
The variable a shouldn't be in the final answer.
 
  • #12
vela said:
The variable a shouldn't be in the final answer.

can you giving me some hints?
 

Similar threads

  • · Replies 1 ·
Replies
1
Views
1K
  • · Replies 10 ·
Replies
10
Views
3K
  • · Replies 4 ·
Replies
4
Views
3K
  • · Replies 1 ·
Replies
1
Views
1K
Replies
2
Views
2K
  • · Replies 3 ·
Replies
3
Views
2K
  • · Replies 8 ·
Replies
8
Views
3K
  • · Replies 3 ·
Replies
3
Views
3K
Replies
2
Views
2K
  • · Replies 4 ·
Replies
4
Views
4K