Laplace's equation inside a circular annulus

Click For Summary

Homework Help Overview

The discussion revolves around solving Laplace's equation within a circular annulus, focusing on the application of Fourier series to find solutions. Participants are analyzing the implications of their calculations and the periodicity of trigonometric functions involved in the Fourier series expansion.

Discussion Character

  • Exploratory, Mathematical reasoning, Assumption checking

Approaches and Questions Raised

  • Participants are evaluating Fourier coefficients and questioning the validity of their results, particularly whether certain coefficients can be zero. They are exploring the integration of products of sine and cosine functions and discussing the periodicity of the resulting expressions.

Discussion Status

There is an ongoing examination of the calculations related to the Fourier series. Some participants have provided alternative perspectives on the periodicity of the functions and the results of the integrals, while others are questioning the assumptions made in the calculations. The discussion reflects a mix of agreement and differing interpretations regarding the results.

Contextual Notes

Participants are working under the constraints of the problem setup, specifically the conditions of the annulus and the implications of the Fourier series coefficients being zero. There is an acknowledgment that the situation may not align with typical expectations for solutions to differential equations.

temaire
Messages
275
Reaction score
0

Homework Statement



1eoviw.png


Homework Equations



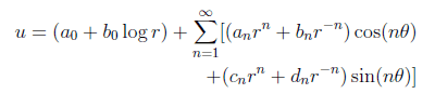
General solution:
1z23h4z.png


Fourier series:
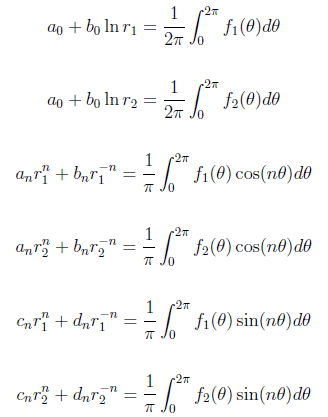
2md14k1.png


where [itex]r_{1}=a[/itex], [itex]r_{2}=b[/itex], [itex]f_{1}(\theta)=sin(\theta)[/itex], and [itex]f_{2}(\theta)=2sin(\theta)cos(\theta)[/itex].

The Attempt at a Solution



By evaluating the Fourier series shown above, I determined that [itex]a_{o}=b_{o}=a_{n}=b_{n}=c_{n}=d_{n}=0[/itex].

Is this correct?
 
Last edited:
Physics news on Phys.org
Well, no. You could guess that for yourself because that would mean the answer is identically 0, which is not awfully likely for the diff eq is it?

I looked at ##\int_0^{2\pi}sin\theta cos{n \theta}d\theta ## . The best way to evaluate it is to express both the sin and cos in exponential form: ##sinx = \frac{e^x-e^{-x}}{2i}## and similarly for the cosnx. Multiply it all out and regroup your terms. You'll have a sin and a cosh. The former is periodic in ##\pi## the latter is not.

Do try again.
 
brmath said:
Well, no. You could guess that for yourself because that would mean the answer is identically 0, which is not awfully likely for the diff eq is it?

I looked at ##\int_0^{2\pi}sin\theta cos{n \theta}d\theta ## . The best way to evaluate it is to express both the sin and cos in exponential form: ##sinx = \frac{e^x-e^{-x}}{2i}## and similarly for the cosnx. Multiply it all out and regroup your terms. You'll have a sin and a cosh. The former is periodic in ##\pi## the latter is not.

Do try again.

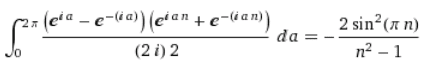
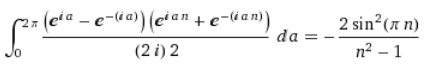
I evaluated the integral you mentioned after expressing both the sin and cos in exponential form as follows:

263ygd0.png


Isn't this still periodic in [itex]\pi[/itex]?
 
How about ##2 \sin \theta \cos n \theta = \sin ((n+1)\theta) - \sin ((n-1) \theta)##?
 
haruspex said:
How about ##2 \sin \theta \cos n \theta = \sin ((n+1)\theta) - \sin ((n-1) \theta)##?

Isn't that still always going to be zero at all n, where n is an integer and can't equal +-1, after integrating?
 
temaire said:
I evaluated the integral you mentioned after expressing both the sin and cos in exponential form as follows:

263ygd0.png


Isn't this still periodic in [itex]\pi[/itex]?

****
Here's what I have:

##sinx \cdot cos(nx)##= ##\frac{1}{4i}[(e^{ix}-e^{-ix}) \cdot (e^{inx}+e^{-inx})] ## = ##\frac{1}{4i}[(e^{i(n+1)x} - e^{-i(n+1)x}) + (e^{(n+1)x} - e^{-(n+1)x})]##

Integrating up the last expression and evaluating at 0 and ##2\pi ## gives

## \frac{1}{4(n+1)i}(e^{2(n+1)\pi} + e^{-2(n+1)\pi}) ##

This is not zero.

Try to be very careful when you do your integration.. Also, note that the product of two periodic functions is periodic, but not necessarily in the period of either.
 
temaire said:
Isn't that still always going to be zero at all n, where n is an integer and can't equal +-1, after integrating?
Quite so, so maybe something else is wrong. But it's much easier than writing out all those exponentials.
 
brmath said:
****
Here's what I have:

##sinx \cdot cos(nx)##= ##\frac{1}{4i}[(e^{ix}-e^{-ix}) \cdot (e^{inx}+e^{-inx})] ## = ##\frac{1}{4i}[(e^{i(n+1)x} - e^{-i(n+1)x}) + (e^{(n+1)x} - e^{-(n+1)x})]##
Not right. You should get some n-1 terms.
 
haruspex said:
Not right. You should get some n-1 terms.

You are right, and I'm the one who should be careful about integrals. I do not know by what slip of the mind I lost the i's in the exponents. The other integral is 0 also.

So temaire is right, they are all 0, unless ##r_1 = r_2## (which isn't really an annulus,but whatever).
 

Similar threads

  • · Replies 14 ·
Replies
14
Views
3K
  • · Replies 6 ·
Replies
6
Views
2K
  • · Replies 7 ·
Replies
7
Views
3K
  • · Replies 3 ·
Replies
3
Views
2K
  • · Replies 3 ·
Replies
3
Views
2K
  • · Replies 5 ·
Replies
5
Views
1K
  • · Replies 5 ·
Replies
5
Views
3K
  • · Replies 10 ·
Replies
10
Views
2K
Replies
3
Views
2K
  • · Replies 2 ·
Replies
2
Views
1K