chrisduluk
- 56
- 0
i guys, I'm stuck on wording of a homework assignment and thought you might be able to help me. There are several questions...
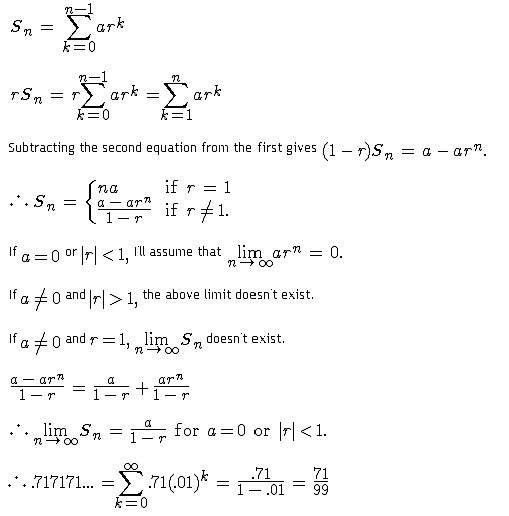
Consider the geometric series: (Sum from k=0 to infinity) of ar^k
and consider the repeating decimal .717171717171 for these problems:
Question 1:
Find a formula for the n-th partial sum of the series and PROVE your result using the Cauchy Convergence Criterion. This technique requires to find epsilon, n, N, etc…
Question 2:
Use your formula from Q1 above to determine which conditions on "a" and/or "r" guarantee that the geometric series converges. And PROVE your result.
Question 3:
Write the repeating decimal .7171717171717171... as a geometric series.
Question 4:
Find the sum of the geometric series in Q3 above to get a fractional representation of your repeating decimal.
My attempts at solving these:
My issues with Q1 are:
- is the formula for the nth partial sum a/(1-r) or [a-ar^(n+1)] / (1-r)?
- the problem notes sum from 0 to infinity; does this change the soln?
- our professor is very picky when it comes to proofs. we have to use the Cauchy criterion to prove this. We can't just use calculus methods to prove things converge such as limit test, ratio test, integral test etc...
My issues with Q2 are:
-How do I prove this??
My issues with Q3 and Q4 are:
I wrote in the margin on my homework page that I'd have to "prove it has equivalent rational representation..." but I don't know what this applies to?
so far I have that .717171… = (sum from k=0 to infinity) of .71(.01)^k
but I'm lost as far as doing the proofs…
Thanks for any help guys! I have today and tomorrow to do this. Thanks for any guidance!
Consider the geometric series: (Sum from k=0 to infinity) of ar^k
and consider the repeating decimal .717171717171 for these problems:
Question 1:
Find a formula for the n-th partial sum of the series and PROVE your result using the Cauchy Convergence Criterion. This technique requires to find epsilon, n, N, etc…
Question 2:
Use your formula from Q1 above to determine which conditions on "a" and/or "r" guarantee that the geometric series converges. And PROVE your result.
Question 3:
Write the repeating decimal .7171717171717171... as a geometric series.
Question 4:
Find the sum of the geometric series in Q3 above to get a fractional representation of your repeating decimal.
My attempts at solving these:
My issues with Q1 are:
- is the formula for the nth partial sum a/(1-r) or [a-ar^(n+1)] / (1-r)?
- the problem notes sum from 0 to infinity; does this change the soln?
- our professor is very picky when it comes to proofs. we have to use the Cauchy criterion to prove this. We can't just use calculus methods to prove things converge such as limit test, ratio test, integral test etc...
My issues with Q2 are:
-How do I prove this??
My issues with Q3 and Q4 are:
I wrote in the margin on my homework page that I'd have to "prove it has equivalent rational representation..." but I don't know what this applies to?
so far I have that .717171… = (sum from k=0 to infinity) of .71(.01)^k
but I'm lost as far as doing the proofs…
Thanks for any help guys! I have today and tomorrow to do this. Thanks for any guidance!
