Linear Algebra - Projection of Vector

Click For Summary
SUMMARY

The discussion centers on the mathematical concept of projecting vector u perpendicular to vector v. The user initially questions the correctness of their answer key, which suggests that the perpendicular component is derived from the equation V - V parallel. After further consideration and analysis, the user acknowledges that the answer key is indeed correct. The key takeaway is the understanding that the projection of a vector involves separating it into parallel and perpendicular components relative to another vector.

PREREQUISITES
  • Understanding of vector projection concepts
  • Familiarity with trigonometric functions, specifically tangent
  • Knowledge of vector notation and operations
  • Ability to calculate angles between vectors using the dot product
NEXT STEPS
  • Study the mathematical derivation of vector projections in linear algebra
  • Learn about the dot product and its application in finding angles between vectors
  • Explore the geometric interpretation of vector projections
  • Practice problems involving projections of vectors in different dimensions
USEFUL FOR

Students studying linear algebra, mathematics educators, and anyone seeking to deepen their understanding of vector projections and their applications in various fields.

YoshiMoshi
Messages
233
Reaction score
10

Homework Statement



I feel like this is a easy question but it seems the answer key doesn't seem to be right.

So say I have 2 vectors

equation 1.PNG


and I'm trying to find the projection of vector u perpendicular to the vector v

Homework Equations

The Attempt at a Solution



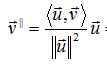
So I don't remember doing something like this before but I would assume that I start off by finding the projection of u in direction of v

equation 2.PNG

alright so this gives me
equation 3.PNG


So conceptually thinking I see that I have a vector u and a vector V|| sort of like this

IMG_20160408_153526779.jpg

So I can find the angle between u and V and I get 104.963 degrees

IMG_20160408_153856303.jpg


So to get the perpendicular component is it just

tan(theta) = (V perpendicular)/(V parallel)
so V perpendicular is
(V parallel)tan(theta) = V perpendicular?

IMG_20160408_154414914.jpg


I think is conceptually ok but I'm not sure because my answer key does V - V parallel which would appear to be wrong in my opinion because I don't see how that would give us V perpendicular, unless I'm not understanding what vector I'm looking for.

Thanks for any help.
 
Physics news on Phys.org
I see that apparently the answer key is correct and see why never mind
 

Similar threads

  • · Replies 1 ·
Replies
1
Views
3K
Replies
15
Views
3K
  • · Replies 1 ·
Replies
1
Views
4K
  • · Replies 4 ·
Replies
4
Views
3K
Replies
2
Views
2K
  • · Replies 5 ·
Replies
5
Views
2K
  • · Replies 7 ·
Replies
7
Views
1K
  • · Replies 2 ·
Replies
2
Views
2K
Replies
1
Views
2K
  • · Replies 12 ·
Replies
12
Views
2K