Linear Algebra - Singular Value Decomposition Problem

Click For Summary

Homework Help Overview

The discussion revolves around finding the Singular Value Decomposition (SVD) of a matrix, focusing on the properties and definitions of singular values and orthonormal bases.

Discussion Character

  • Conceptual clarification, Assumption checking

Approaches and Questions Raised

  • Participants express confusion regarding the transition from a vector representation to its orthonormal form, questioning the mathematical justification for this change.
  • There is a discussion about why only the positive square root is considered when determining singular values, with participants exploring the implications of including negative roots.
  • Some participants inquire about the definitions and properties of singular values and orthonormality in the context of SVD.

Discussion Status

The discussion is ongoing, with participants seeking clarification on specific mathematical steps and definitions. Some guidance has been provided regarding the nature of singular values, but multiple interpretations and questions remain unaddressed.

Contextual Notes

Participants are grappling with the definitions of singular values and orthonormality, as well as the implications of using negative values in the context of SVD. There is a focus on ensuring that the basis vectors remain orthonormal.

YoshiMoshi
Messages
233
Reaction score
10

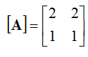
Homework Statement



Find the SVD of

equation 1.PNG


Homework Equations

The Attempt at a Solution


I'm stuck
equation 2.PNG

equation 3.PNG

equation 4.PNG


My question is why in the solution it originally finds u_2=[1/5,-2/5]' but then says u_2=[1/sqrt(5),-2/sqrt(5)]'. I don't see what math was done in the solution to change the denominator from 5 to square root 5.

General Question - When finding the singular value...
(sigma_1)^2 = constant, why do we only consider the positive root
sigma_1 = sqrt(constant)
because the solution to the problem is
sigma_1 = +/- sqrt(constant)

Thanks for any help you can provide me.
 
Physics news on Phys.org
YoshiMoshi said:
My question is why in the solution it originally finds u_2=[1/5,-2/5]' but then says u_2=[1/sqrt(5),-2/sqrt(5)]'. I don't see what math was done in the solution to change the denominator from 5 to square root 5.
You're looking for an orthonormal basis.

General Question - When finding the singular value...
(sigma_1)^2 = constant, why do we only consider the positive root
sigma_1 = sqrt(constant)
because the solution to the problem is
sigma_1 = +/- sqrt(constant)

Thanks for any help you can provide me.
What's the definition you're using of a singular value?
 
Sorry I don't understand. It has to be orthornormal to u_1 so taking the dot product with u_1 and u_2 has to be zero and that's were it comes from?

I'm talking about just when it finds sigma_1 and sigma_2 why don't we consider the negative square root into our calculation when we find SVD? Like when we form the sigma matrix it's the singular values in a diagonal matrix, so I just don't understand really why we don't consider the negative root.
 
YoshiMoshi said:
Sorry I don't understand. It has to be orthornormal to u_1 so taking the dot product with u_1 and u_2 has to be zero and that's were it comes from?
No.

I'm talking about just when it finds sigma_1 and sigma_2 why don't we consider the negative square root into our calculation when we find SVD? Like when we form the sigma matrix it's the singular values in a diagonal matrix, so I just don't understand really why we don't consider the negative root.
Look up the definition of a singular value..
 
YoshiMoshi said:
why don't we consider the negative square root into our calculation when we find SVD?
Singular values of a ##A## is defined to be the positive square root of the eigenvalues of ##A^*A##.
Nevertheless, if you choose to use the negative ones, it will still give the same original matrix ##A##.
 

Similar threads

  • · Replies 4 ·
Replies
4
Views
3K
  • · Replies 2 ·
Replies
2
Views
2K
  • · Replies 18 ·
Replies
18
Views
4K
Replies
9
Views
3K
  • · Replies 2 ·
Replies
2
Views
2K
  • · Replies 8 ·
Replies
8
Views
2K
  • · Replies 25 ·
Replies
25
Views
4K
  • · Replies 4 ·
Replies
4
Views
2K
  • · Replies 2 ·
Replies
2
Views
1K
  • · Replies 2 ·
Replies
2
Views
2K