Magnetic- and Electric- field lines due to a moving magnetic monopole

Click For Summary

Homework Help Overview

The discussion revolves around the behavior of electric and magnetic fields due to a moving magnetic monopole, referencing concepts from electromagnetism and Maxwell's equations. Participants explore the implications of including magnetic charge in these equations and the resulting transformations.

Discussion Character

  • Conceptual clarification, Mathematical reasoning, Assumption checking

Approaches and Questions Raised

  • Participants question the correctness of the original poster's results and suggest using dimensional analysis. There is discussion about the potential errors in the retarded potentials and the constants involved. Various approaches to relate electric and magnetic charge through Maxwell's equations are proposed, including duality transformations and direct substitutions.

Discussion Status

The discussion is active, with participants providing guidance on comparing Maxwell's equations for electric and magnetic charges. Some participants have offered potential substitutions for the equations, while others are still seeking clarity on the correct relationships between the symbols used in the equations.

Contextual Notes

There are indications of confusion regarding the appropriate constants and symbols in the equations, as well as the uniqueness of the transcription choices for mapping electric to magnetic charge equations. Participants are navigating these complexities without a clear resolution yet.

milkism
Messages
118
Reaction score
15
Homework Statement
Find the magnetic- and field lines equations of a moving magnetic monopole charge at constant velocirty v.
Relevant Equations
#
Question:
e5554d30aa9bfabe7b9ea35036ec1c90.png

My answer:
75dba69540efc20e01fca477ed7c83d4.png

What it looks like for an electric charge:
3d20fa4ba344a34f12fb9fd8e8734685.png

Am I correct? If you want I can hand out my Latex on how I got to it, it will refer to the book Griffiths a lot.
 
Physics news on Phys.org
milkism said:
1678568999425.png
You didn't show how you got these results. You can use dimensional analysis to see that these aren't correct.
 
  • Like
Likes   Reactions: milkism and jim mcnamara
TSny said:
You didn't show how you got these results. You can use dimensional analysis to see that these aren't correct.
5b00d45257db04825b465461647a3a2d.png

fe730dc0830d56d29bc2a467aa421060.png

6cdeb83d528c8112ba376f5cce282e32.png

I think my retarded potentials are wrong, because of wrong constants should for A(r,t) there to be a mu_0 and for V(r,t) instead of 1/c², an 1/epsilon_zero?
 
I haven't checked the details of your calculation using the approach of rederiving scalar and vector potentials for the fields due to magnetic charge and then using these potentials to derive the fields of a uniformly moving magnetic point charge (monopole). It looks tedious.

Another approach is to compare Maxwell's equations for electric charge with Maxwell's equations for magnetic charge.

For electric charge (with no magnetic charge present) we have
1678656023149.png


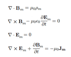
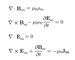
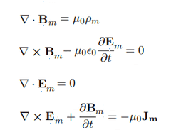
For magnetic charge (with no electric charge present) we have

1678656038329.png

For convenience, I've added the subscript ##m## for the fields due to magnetic charge.

These two sets of equations are equivalent except for symbols. For example, you can convert the first equation in the electric charge equations to the first equation in the magnetic equations by making the symbolic substitutions $$ \mathbf{E} \rightarrow \mathbf{B_m}$$ $$\rho \rightarrow \mu_0 \epsilon_0 \rho_m$$

See if you can find additional substitutions $$\mathbf{B} \rightarrow [?]$$ $$\mathbf{J} \rightarrow [?] $$ so that the other equations for the electric charge are transformed into the other equations for the magnetic charge.

You can then use these substitutions to directly convert the expressions for the fields of the uniformly moving electric charge into the expressions for the fields of the uniformly moving magnetic charge.
 
  • Like
Likes   Reactions: MatinSAR, milkism and vanhees71
BTW: That's known as the "duality transformation". Including magnetic charge in Maxwell's equations makes them entirely invariant under such transformations, and indeed you can use this to get the result from the known field of a moving electric charge.

Another simple way is to calculate the solution for a magnetic charge at rest and then Lorentz boost the fields. That's technically simpler than using the Lienard-Wiechert (retarded) potentials.
 
  • Like
Likes   Reactions: MatinSAR, milkism and TSny
TSny said:
I haven't checked the details of your calculation using the approach of rederiving scalar and vector potentials for the fields due to magnetic charge and then using these potentials to derive the fields of a uniformly moving magnetic point charge (monopole). It looks tedious.

Another approach is to compare Maxwell's equations for electric charge with Maxwell's equations for magnetic charge.

For electric charge (with no magnetic charge present) we have
View attachment 323535

For magnetic charge (with no electric charge present) we have

View attachment 323536
For convenience, I've added the subscript ##m## for the fields due to magnetic charge.

These two sets of equations are equivalent except for symbols. For example, you can convert the first equation in the electric charge equations to the first equation in the magnetic equations by making the symbolic substitutions $$ \mathbf{E} \rightarrow \mathbf{B_m}$$ $$\rho \rightarrow \mu_0 \epsilon_0 \rho_m$$

See if you can find additional substitutions $$\mathbf{B} \rightarrow [?]$$ $$\mathbf{J} \rightarrow [?] $$ so that the other equations for the electric charge are transformed into the other equations for the magnetic charge.

You can then use these substitutions to directly convert the expressions for the fields of the uniformly moving electric charge into the expressions for the fields of the uniformly moving magnetic charge.
Is it B to (E_m)/(y_0 e_0) and J to -J_m?
 
milkism said:
Is it B to (E_m)/(y_0 e_0) and J to -J_m?
No, neither of these is correct.

For example, start with the Maxwell equation $$\nabla \times \mathbf{E} + \frac{\partial \mathbf{B}}{\partial t} = 0.$$ In post #4 we have ##\mathbf{E} \rightarrow \mathbf{B_m}##. Suppose we also assume your correspondence ##\mathbf{B} \rightarrow \mathbf{E_m}/(\mu_0 \epsilon_0)##. Then this Maxwell equation becomes $$\nabla \times \mathbf{B_m} +\frac 1 {\mu_0 \epsilon_0} \frac{\partial \mathbf{E_m}}{\partial t} = 0.$$ But the equation we need to obtain is $$\nabla \times \mathbf{B_m} -\mu_0 \epsilon_0 \frac{\partial \mathbf{E_m}}{\partial t} = 0.$$
 
  • Like
Likes   Reactions: MatinSAR and milkism
TSny said:
No, neither of these is correct.

For example, start with the Maxwell equation $$\nabla \times \mathbf{E} + \frac{\partial \mathbf{B}}{\partial t} = 0.$$ In post #4 we have ##\mathbf{E} \rightarrow \mathbf{B_m}##. Suppose we also assume your correspondence ##\mathbf{B} \rightarrow \mathbf{E_m}/(\mu_0 \epsilon_0)##. Then this Maxwell equation becomes $$\nabla \times \mathbf{B_m} +\frac 1 {\mu_0 \epsilon_0} \frac{\partial \mathbf{E_m}}{\partial t} = 0.$$ But the equation we need to obtain is $$\nabla \times \mathbf{B_m} -\mu_0 \epsilon_0 \frac{\partial \mathbf{E_m}}{\partial t} = 0.$$
$$\mathbf{B} \rightarrow -(\mu_0 \epsilon_0 )\mathbf{E_m}$$, and for last one $$\mathbf{E} \rightarrow - \frac{ \mathbf{B_m}}{\mu_0 \epsilon_0}, \mathbf{J} \rightarrow - \mathbf{J_m}$$?
 
milkism said:
$$\mathbf{B} \rightarrow -(\mu_0 \epsilon_0 )\mathbf{E_m}$$
Yes, this looks good.

milkism said:
and for last one $$\mathbf{E} \rightarrow - \frac{ \mathbf{B_m}}{\mu_0 \epsilon_0}, \mathbf{J} \rightarrow - \mathbf{J_m}$$
No. From post #4, we started with the transcriptions ##\mathbf{E} \rightarrow \mathbf{B_m}## and ##\mathbf{\rho} \rightarrow \mu_0 \epsilon_0 \rho_m##. So, we must retain these as we figure out the other transcriptions. So, at this point, you have $$\mathbf{E} \rightarrow \mathbf{B_m} , \,\,\,\,\, \mathbf{\rho} \rightarrow \mu_0 \epsilon_0 \rho_m \,\,\,\,\, \rm{and} \,\,\,\,\ \mathbf{B} \rightarrow -\mu_0\epsilon_0 \mathbf{E_m}$$ You just need to get the correct relation between the symbols ##\mathbf{J}## and ##\mathbf{J_m}##.

[Note: We could have started out in post #4 with the different choice ##\mathbf{E} \rightarrow- \mathbf{B_m}## and ##\mathbf{\rho} \rightarrow -\mu_0 \epsilon_0 \rho_m## which has negative signs on the right sides. This choice would still make ##\nabla \cdot \mathbf{E} = \rho/\epsilon_0## transcsribe to the equation ##\nabla \cdot \mathbf{B_m} = \mu_0 \rho_m## , as required. Then the transcriptions for the other symbols would need to be modified appropriately. So, the transcription that will map the "electric charge" Maxwell equations to the "magnetic charge" Maxwell equations is not unique. (The number of choices is infinite.) But these different choices would all lead to the same result for the fields of the uniformly moving magnetic monopole. So, you just need to find any one particular set of transcriptions of the symbols that will work.]
 
  • Like
Likes   Reactions: MatinSAR and milkism
  • #10
TSny said:
Yes, this looks good.No. From post #4, we started with the transcriptions ##\mathbf{E} \rightarrow \mathbf{B_m}## and ##\mathbf{\rho} \rightarrow \mu_0 \epsilon_0 \rho_m##. So, we must retain these as we figure out the other transcriptions. So, at this point, you have $$\mathbf{E} \rightarrow \mathbf{B_m} , \,\,\,\,\, \mathbf{\rho} \rightarrow \mu_0 \epsilon_0 \rho_m \,\,\,\,\, \rm{and} \,\,\,\,\ \mathbf{B} \rightarrow -\mu_0\epsilon_0 \mathbf{E_m}$$ You just need to get the correct relation between the symbols ##\mathbf{J}## and ##\mathbf{J_m}##.

[Note: We could have started out in post #4 with the different choice ##\mathbf{E} \rightarrow- \mathbf{B_m}## and ##\mathbf{\rho} \rightarrow -\mu_0 \epsilon_0 \rho_m## which has negative signs on the right sides. This choice would still make ##\nabla \cdot \mathbf{E} = \rho/\epsilon_0## transcsribe to the equation ##\nabla \cdot \mathbf{B_m} = \mu_0 \rho_m## , as required. Then the transcriptions for the other symbols would need to be modified appropriately. So, the transcription that will map the "electric charge" Maxwell equations to the "magnetic charge" Maxwell equations is not unique. (The number of choices is infinite.) But these different choices would all lead to the same result for the fields of the uniformly moving magnetic monopole. So, you just need to find any one particular set of transcriptions of the symbols that will work.]
$$\mathbf{J} \rightarrow -\mathbf{J_m}\left(\mu _0 \epsilon _0\right)$$?
 
Last edited:
  • #11
milkism said:
$$\mathbf{J} \rightarrow -\mathbf{J_m}\left(\mu _0 \epsilon _0\right)$$
That's very close. Please show the steps that you used to get this.
 
  • Like
Likes   Reactions: milkism
  • #12
Just look at the (microscopic) Maxwell equations (in SI units) including magnetic monopoles
$$\vec{\nabla} \cdot \vec{E}=\frac{1}{\epsilon_0} \rho_{\text{el}}, \quad \vec{\nabla} \cdot \vec{B}=\rho_{\text{mag}},$$
$$\vec{\nabla} \times \vec{B}-\epsilon_0 \mu_0 \partial_t \vec{E} = \mu_0 \vec{j}, \quad -\partial_t \vec{B}-\vec{\nabla} \times \vec{E}=\vec{j}_{\text{mag}}.$$
Now think about how to exchange ##\vec{E}## and ##\vec{B}## simultaneously with ##\rho_{\text{el}}## and ##\rho_{\text{mag}}## and ##\vec{j}_{\text{el}}## with ##\vec{j}_{\text{mag}}## with appropriate factors and signs such that the equations don't change. That are the celebrated "duality transformations".

Note that everything gets much simpler when you use Gaussian or Heaviside-Lorentz units ;-). Also the covariant relativistic formulation is revealing!
 
  • Love
Likes   Reactions: milkism
  • #13
TSny said:
That's very close. Please show the steps that you used to get this.
$$-\left( \mu_0 \epsilon_0 \right) \nabla \cross \mathbf{E_m} - \left( \mu_0 \epsilon_0 \right) \frac{\partial \mathbf{B_m}{\partial t} = \mu_0 \mathbf{J}
\left(-\mu_0 \epsilon_0 \right) \left( \nabla \cross \mathbf{E_m} + \frac{\partial \mathbf{B_m}{\partial t} \right)= \mu_0 \mathbf{J}
\nabla \cross \mathbf{E_m} + \frac{\partial \mathbf{B_m}{\partial} = \frac{\mu_0 \mathbf{J}}{- \mu_0 \epsilon _0}
$$So $$\mathbf{J} \rightarrow -\left( \mu_0 \epsilon_0 \right) \mathbf{J_m}$$. (No idea why Latex doesn't work)
 
  • #14
milkism said:
$$-\left( \mu_0 \epsilon_0 \right) \nabla \times \mathbf{E_m} - \left( \mu_0 \epsilon_0 \right) \frac{\partial \mathbf{B_m}}{\partial t} = \mu_0 \mathbf{J}$$ $$\left(-\mu_0 \epsilon_0 \right) \left( \nabla \times \mathbf{E_m} + \frac{\partial \mathbf{B_m}}{\partial t} \right)= \mu_0 \mathbf{J}$$ $$\nabla \times \mathbf{E_m} + \frac{\partial \mathbf{B_m}}{\partial t} = \frac{\mu_0 \mathbf{J}}{- \mu_0 \epsilon _0}$$
So $$\mathbf{J} \rightarrow -\left( \mu_0 \epsilon_0 \right) \mathbf{J_m}$$.
There were some missing } symbols in the formatting and I added some $ symbols to make the individual equations show on separate lines. Your work looks correct except for the final conclusion. You ended up with the equation $$\nabla \times \mathbf{E_m} + \frac{\partial \mathbf{B_m}}{\partial t} = \frac{\mu_0 \mathbf{J}}{- \mu_0 \epsilon _0}$$ that you want to make equivalent to the equation $$\nabla \times \mathbf{E_m} + \frac{\partial \mathbf{B_m}}{\partial t} = -\mu_0 \mathbf{J_m}$$ Note that both equations have a negative sign on the right side.
 
  • Like
Likes   Reactions: milkism
  • #15
TSny said:
There were some missing } symbols in the formatting and I added some $ symbols to make the individual equations show on separate lines. Your work looks correct except for the final conclusion. You ended up with the equation $$\nabla \times \mathbf{E_m} + \frac{\partial \mathbf{B_m}}{\partial t} = \frac{\mu_0 \mathbf{J}}{- \mu_0 \epsilon _0}$$ that you want to make equivalent to the equation $$\nabla \times \mathbf{E_m} + \frac{\partial \mathbf{B_m}}{\partial t} = -\mu_0 \mathbf{J_m}$$ Note that both equations have a negative sign on the right side.
So it's just positive. So electric- and magnetic field formulae due to electric charge are (ignoring the other constants and distance)
$$\mathbf{E} = \frac{\rho \tau}{\epsilon_0}$$
$$\mathbf{B} = \mu_0 \mathbf{J} \tau$$
For magnetic monopoles it will become
$$\mathbf{B_m} = \mu_0 \rho _m \tau$$
$$\mathbf{E_m} = \mu_0 \mathbf{J_m} \tau$$
? Where tau is volume.
 
  • #16
milkism said:
So it's just positive. So electric- and magnetic field formulae due to electric charge are (ignoring the other constants and distance)
$$\mathbf{E} = \frac{\rho \tau}{\epsilon_0}$$
$$\mathbf{B} = \mu_0 \mathbf{J} \tau$$
For magnetic monopoles it will become
$$\mathbf{B_m} = \mu_0 \rho _m \tau$$
$$\mathbf{E_m} = \mu_0 \mathbf{J_m} \tau$$
? Where tau is volume.
I don't think you took into account the negative sign in the relation ##\mathbf{B} \rightarrow -\mu_0 \epsilon_0 \mathbf{E}_m##.

Also, I'm guessing that you've somehow introduced the volume of the charge, ##\tau##, with the intention of replacing ##\rho \tau## by ##q##.

However, it's not so simple. For example, the potentials ##V## and ##\mathbf{A}## depend on the sources ##\rho## and ##\mathbf{J}## at retarded times ##t_r##. This is discussed in Griffiths (pages 430 - 431 in the 3rd edition) or see section 21-5 of the Feynman Lectures. As shown there, it turns out that ##\int \rho(\mathbf{r'}, t_r) d\tau' \neq q##.

But, we don't need to worry about this because exactly the same subtleties occur for the magnetic monopole. The transcription ##\rho \rightarrow \mu_0 \epsilon_0 \rho_m## means that ##q## will get replaced by ##\mu_0 \epsilon_0 q_m## in the final equations.

So, the formula for the electric field of a moving electric charge is given to be $$\mathbf{E}(r, t) = \frac{q}{4 \pi \epsilon_0}\frac{1-v^2/c^2}{\left(1-v^2 \sin^2 \theta /c^2 \right)^{3/2}}\frac{\hat{\mathbf{R}}}{R^2}$$ It should now be easy to translate this to the expression for ##\mathbf{B}_m(r, t)## for the magnetic monopole.

Likewise, you can translate ##\mathbf{B}(\mathbf{r}, t) = \frac 1 {c^2} \mathbf{v} \times \mathbf{E}(\mathbf{r},t)## to get ##\mathbf{E}_m(\mathbf{r},t)##.
 
Last edited:
  • Like
Likes   Reactions: milkism
  • #17
TSny said:
I don't think you took into account the negative sign in the relation ##\mathbf{B} \rightarrow -\mu_0 \epsilon_0 \mathbf{E}_m##.

Also, I'm guessing that you've somehow introduced the volume of the charge, ##\tau##, with the intention of replacing ##\rho \tau## by ##q##.

However, it's not so simple. For example, the potentials ##V## and ##\mathbf{A}## depend on the sources ##\rho## and ##\mathbf{J}## at retarded times ##t_r##. This is discussed in Griffiths (pages 430 - 431 in the 3rd edition) or see section 21-5 of the Feynman Lectures. As shown there, it turns out that ##\int \rho(\mathbf{r'}, t_r) d\tau' \neq q##.

But, we don't need to worry about this because exactly the same subtleties occur for the magnetic monopole. The transcription ##\rho \rightarrow \mu_0 \epsilon_0 \rho_m## means that ##q## will get replaced by ##\mu_0 \epsilon_0 q_m## in the final equations.

So, the formula for the electric field of a moving electric charge is given to be $$\mathbf{E}(r, t) = \frac{q}{4 \pi \epsilon_0}\frac{1-v^2/c^2}{\left(1-v^2 \sin^2 \theta /c^2 \right)^{3/2}}\frac{\hat{\mathbf{R}}}{R^2}$$ It should now be easy to translate this to the expression for ##\mathbf{B}_m(r, t)## for the magnetic monopole.

Likewise, you can translate ##\mathbf{B}(\mathbf{r}, t) = \frac 1 {c^2} \mathbf{v} \times \mathbf{E}(\mathbf{r},t)## to get ##\mathbf{E}_m(\mathbf{r},t)##.
$$\mathbf{B}(\mathbf{r},t) = \frac{q_m \mu _0 \left(1 - v^2 / c^2 \right) \mathbf{\hat{R}}}{4 \pi \left( 1 - v^2 \sin^2 (\theta )/c ^2 \right)^{3/2}R^2},$$
$$\mathbf{E}(\mathbf{r},t) = -\frac{1}{c^4} \left( \mathbf{v} \times \mathbf{B}(\mathbf{r},t) \right).$$
 
  • #18
milkism said:
$$\mathbf{B}(\mathbf{r},t) = \frac{q_m \mu _0 \left(1 - v^2 / c^2 \right) \mathbf{\hat{R}}}{4 \pi \left( 1 - v^2 \sin^2 (\theta )/c ^2 \right)^{3/2}R^2},$$
This looks right.

milkism said:
$$\mathbf{E}(\mathbf{r},t) = -\frac{1}{c^4} \left( \mathbf{v} \times \mathbf{B}(\mathbf{r},t) \right).$$
The factor of ##\large \frac 1 {c^4}## is not correct. If you show your steps, we can find where you made a mistake.
 
  • Like
Likes   Reactions: MatinSAR, vanhees71 and milkism
  • #19
TSny said:
This looks right.The factor of ##\large \frac 1 {c^4}## is not correct. If you show your steps, we can find where you made a mistake.
Originally it was $$\frac{1}{c^2}$$ but because of the $$-c^{2} \mathbf{E}$$ transformation it became $$-\frac{1}{c^4}$$.
 
  • #20
milkism said:
but because of the $$-c^{2} \mathbf{E}$$ transformation it became $$-\frac{1}{c^4}$$.
The transforms are ##\mathbf{E} \rightarrow \mathbf{B}_m## and ##\mathbf{B} \rightarrow -\mu_0 \epsilon_0\mathbf{E}_m##

Note that the second one can be written as ##\mathbf{B} \rightarrow -\mathbf{E}_m/c^2 ##.

So, when translating ##\mathbf{B}(\mathbf{r}, t) = \frac 1 {c^2} \mathbf{v} \times \mathbf{E}(\mathbf{r},t)##, I don't see how you get a factor of ##\large \frac 1 {c^4}##.
 
  • Like
Likes   Reactions: MatinSAR and milkism
  • #21
TSny said:
The transforms are ##\mathbf{E} \rightarrow \mathbf{B}_m## and ##\mathbf{B} \rightarrow -\mu_0 \epsilon_0\mathbf{E}_m##

Note that the second one can be written as ##\mathbf{B} \rightarrow -\mathbf{E}_m/c^2 ##.

So, when translating ##\mathbf{B}(\mathbf{r}, t) = \frac 1 {c^2} \mathbf{v} \times \mathbf{E}(\mathbf{r},t)##, I don't see how you get a factor of ##\large \frac 1 {c^4}##.
Oh I misread the formula I thought c² was y_o*e_o, so it basically becomes -v x B.
 
  • Like
Likes   Reactions: vanhees71
  • #22
milkism said:
Oh I misread the formula I thought c² was y_o*e_o, so it basically becomes -v x B.
Yes, that's right. Good.
 
  • Like
Likes   Reactions: MatinSAR, vanhees71 and milkism
  • #23
When you sketch the E-field lines of the moving magnetic monopole, be sure to take into account the negative sign in ##\mathbf{E}_m = -\mathbf{v} \times \mathbf{B}_m##.
 
  • Like
Likes   Reactions: MatinSAR and milkism
  • #24
TSny said:
When you sketch the E-field lines of the moving magnetic monopole, be sure to take into account the negative sign in ##\mathbf{E}_m = -\mathbf{v} \times \mathbf{B}_m##.
Yep, thanks for everything! :D
 
  • Like
Likes   Reactions: TSny

Similar threads

  • · Replies 33 ·
2
Replies
33
Views
3K
  • · Replies 4 ·
Replies
4
Views
2K
  • · Replies 6 ·
Replies
6
Views
3K
  • · Replies 1 ·
Replies
1
Views
1K
  • · Replies 7 ·
Replies
7
Views
3K
  • · Replies 20 ·
Replies
20
Views
3K
  • · Replies 7 ·
Replies
7
Views
4K
  • · Replies 6 ·
Replies
6
Views
4K
  • · Replies 17 ·
Replies
17
Views
3K
Replies
1
Views
2K