Magnetic field due to a coil wound on a hemsiphere

Click For Summary

Homework Help Overview

The discussion revolves around calculating the magnetic field due to a coil wound on a hemisphere, focusing on the contributions from elemental ring-shaped conductors and the integration of relevant geometrical quantities.

Discussion Character

  • Exploratory, Mathematical reasoning, Assumption checking

Approaches and Questions Raised

  • Participants explore the relationship between the quantity dN and geometrical aspects of the problem, particularly in relation to the polar angle theta. There are discussions about the integration of dN over the arc length and the density of turns in relation to the arc subtended by the angle.

Discussion Status

Participants are actively engaging with the problem, with some offering guidance on how to express dN in terms of theta. There is a recognition of different approaches to arrive at the same expression for dN, indicating a productive exploration of the topic.

Contextual Notes

Participants are working within the constraints of the problem's geometry, specifically the arc length and the total number of turns N, while discussing the implications of their assumptions on the calculations.

palaphys
Messages
267
Reaction score
17
Homework Statement
A long insulating wire carrying current $\mathbf{i}$ is wrapped ($\mathbf{N}$ turns) tightly over a hemispherical bowl of radius $\mathbf{R}$ without any gap between consecutive turns up to a height of $\mathbf{\frac{\sqrt{3}R}{2}}$ as shown. The magnetic field at the center is:
Relevant Equations
magnetism equations+integration
Screenshot 2025-11-08 175724.webp

this is the figure provided. My approach was to consider the field due to an elemental ring-shape conductor, using the standard formula
##dB = \frac{\mu_0 i r^2 \ dN}{2(x^2 + r^2)^{3/2}} ##
where r is the radius of the elemental ring, x is the distance from the center of the hemisphere to that of the ring.

I'm not able to figure out how to calculate dN correctly.
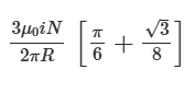
(answer for the question(for magnetic field) is given as :

1762606543842.webp
)
 
Physics news on Phys.org
Quantity ##dN## is proportional to what geometrical quantity that you will have to integrate over? Look at the drawing that was provided by the question. What have you tried so far?
 
kuruman said:
Quantity ##dN## is proportional to what geometrical quantity that you will have to integrate over? Look at the drawing that was provided by the question. What have you tried so far?
yes It must be proportional to some quantity. I'm trying to consider its relation with an angle theta, i.e polar angle
 
palaphys said:
yes It must be proportional to some quantity. I'm trying to consider its relation with an angle theta, i.e polar angle
That's a good start. What fraction of the total turns ##N## do you think is within an arc subtending angle ##d\theta##?
 
kuruman said:
That's a good start. What fraction of the total turns ##N## do you think is within an arc subtending angle ##d\theta##?
I think I will do it this way- for the entire wire covering the arc, the lengthwise turn density is N/(arc length).

here arc length will be ## s= R\phi_{\max} = R\pi/3 ## based on the geometry of the problem.
so ##dN/ds= N/s= \frac{3N}{\pi R}##
where ##ds=R(d\theta) ## where theta is the polar angle from +z axis
1762688727952.webp

so far if my ideas are correct, I think I can take it from here.
Is there any other way to find ##dN## ?
 
Your ideas are correct and you can take it from there. However, since you asked, you can do it more directly by noting that there are ##N## turns distributed over ##\frac{\pi}{3}## so that $$dN=\left(\frac{N}{\pi/3}\right)d\theta=\frac{3N}{\pi}d\theta.$$Since the variable of integration is ##\theta## and not ##s##, your approach introduces the extra step ##ds=Rd\theta## but the end result is the same.
 
  • Like
Likes   Reactions: palaphys
kuruman said:
However, since you asked, you can do it more directly by noting that there are ##N## turns distributed over ##\frac{\pi}{3}## so that $$dN=\left(\frac{N}{\pi/3}\right)d\theta=\frac{3N}{\pi}d\theta.
Agreed. This is simpler.
Thanks
 
  • Like
Likes   Reactions: kuruman

Similar threads

Replies
3
Views
1K
Replies
5
Views
2K
Replies
7
Views
2K
  • · Replies 15 ·
Replies
15
Views
2K
Replies
12
Views
2K
Replies
10
Views
2K
Replies
5
Views
1K
Replies
4
Views
4K
  • · Replies 20 ·
Replies
20
Views
4K
  • · Replies 15 ·
Replies
15
Views
3K