Magnetic flux through a triangular loop?

Click For Summary

Homework Help Overview

The discussion revolves around determining the mutual inductance between a long straight wire and a conducting equilateral triangular loop. Participants are exploring the calculation of magnetic flux through the triangular loop, specifically focusing on the integration of the magnetic field over the area of the triangle.

Discussion Character

  • Exploratory, Mathematical reasoning, Assumption checking

Approaches and Questions Raised

  • Participants discuss the geometry of the triangular loop and how to set up the integral for magnetic flux. There are questions about the appropriate differential area element (dA) and how to parameterize the line integrals. Some participants suggest considering vertical slices of the triangle to simplify the integration process.

Discussion Status

There are multiple lines of reasoning being explored, with some participants providing insights on how to approach the surface integral. Guidance has been offered regarding the relationship between the magnetic field and the distance from the wire, as well as how to express the height of the triangle as a function of distance.

Contextual Notes

Participants are navigating the complexities of integrating over a triangular area and are dealing with potentially cumbersome bounds for the integrals. There is an emphasis on understanding the geometry and the implications of the infinite length of the wire on the magnetic field.

Abdulwahab Hajar
Messages
56
Reaction score
2

Homework Statement


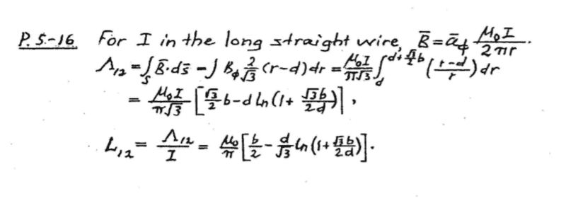
Determine the mutual inductance between a very long, straight wire and a conducting equilateral triangular loop

Homework Equations


I know how to do it but I'm stuck at the step of finding the total inductance through the triange.

The Attempt at a Solution


we know that the magnetic field due to an infinitely long wire is
B = µI/2πr
in order to find the magnetic flux through the triangle we need to find Φ = ∫B.dA
we have B but what would dA be in this case
the book says it's (2/√3) * (r - d) *dr
why is that so?

thank you
 

Attachments

  • q.png
    q.png
    362 bytes · Views: 1,105
Physics news on Phys.org
Look at the geometry for your triangle.
Starting at the point closest to the wire, we will call that ##(d, 0)## , you will follow a counterclockwise path to ##(d+\frac{b\sqrt{3}}{2}, -\frac b2 )##, then from
##(d+\frac{b\sqrt{3}}{2}, -\frac b2 )## to ##(d+\frac{b\sqrt{3}}{2}, +\frac b2 )##, and finally from ##(d+\frac{b\sqrt{3}}{2}, +\frac b2 )## to ##(d,0 )##.
Of course, you can parameterize each of those line integrals to get a form that is easier to work with.
 
  • Like
Likes   Reactions: Abdulwahab Hajar
RUber said:
Look at the geometry for your triangle.
Starting at the point closest to the wire, we will call that ##(d, 0)## , you will follow a counterclockwise path to ##(d+\frac{b\sqrt{3}}{2}, -\frac b2 )##, then from
##(d+\frac{b\sqrt{3}}{2}, -\frac b2 )## to ##(d+\frac{b\sqrt{3}}{2}, +\frac b2 )##, and finally from ##(d+\frac{b\sqrt{3}}{2}, +\frac b2 )## to ##(d,0 )##.
Of course, you can parameterize each of those line integrals to get a form that is easier to work with.
Ok that really helped to be honest.
Thank you sir
But that would be a line integral right?
what if I wanted to cover the surface as in the area covered by the sides of the triangle
 
Then, in that case, you would have x going from d to d+b/2 * sqrt(3) and y ranging from the lower line to the upper line (as a function of x).
These bounds are no fun to work with, but will get you to the answer for the surface integral.
 
  • Like
Likes   Reactions: Abdulwahab Hajar
RUber said:
Then, in that case, you would have x going from d to d+b/2 * sqrt(3) and y ranging from the lower line to the upper line (as a function of x).
These bounds are no fun to work with, but will get you to the answer for the surface integral.
Yeah I get ya...
is there anyway to do it with a change in r since it covers both x and y directions...
this is how it is in the solution manual perhaps if you take a look you could understand how it was derived
I just couldn't figure it out
 

Attachments

  • q.png
    q.png
    17 KB · Views: 880
I see what they did there. Since the wire in infinitely long, B is only dependent on r, the distance from the line.
So, if you slice up the equilateral triangle vertically, along lines with the same distance to the wire, you get
##\int\int B \, dA = \int B h(r) dr, ##
where ##h(r)## is the height of the triangle at distance r.
At r=d, the height is 0, and at r = ##d+b\sqrt{3}/2##, the height is b. So you can make a linear rule for the height that looks like
## h = (r-d)\frac{2}{\sqrt{3}} .##
Check that against the reference points to make sure.
So, now you can treat the integral in terms of one variable, r.
##\int B h(r) dr = \int B (r-d)\frac{2}{\sqrt{3}}\, dr ##
The final answer applies a simplification in the natural log, but otherwise, you should be able to follow the rest from there with about 2 extra steps.
I hope this helps.
 
  • Like
Likes   Reactions: Abdulwahab Hajar
RUber said:
I see what they did there. Since the wire in infinitely long, B is only dependent on r, the distance from the line.
So, if you slice up the equilateral triangle vertically, along lines with the same distance to the wire, you get
##\int\int B \, dA = \int B h(r) dr, ##
where ##h(r)## is the height of the triangle at distance r.
At r=d, the height is 0, and at r = ##d+b\sqrt{3}/2##, the height is b. So you can make a linear rule for the height that looks like
## h = (r-d)\frac{2}{\sqrt{3}} .##
Check that against the reference points to make sure.
So, now you can treat the integral in terms of one variable, r.
##\int B h(r) dr = \int B (r-d)\frac{2}{\sqrt{3}}\, dr ##
The final answer applies a simplification in the natural log, but otherwise, you should be able to follow the rest from there with about 2 extra steps.
I hope this helps.
It's great man
Thanks a lot
You're the best
 

Similar threads

  • · Replies 9 ·
Replies
9
Views
2K
Replies
32
Views
5K
  • · Replies 6 ·
Replies
6
Views
2K
Replies
12
Views
2K
  • · Replies 1 ·
Replies
1
Views
2K
  • · Replies 2 ·
Replies
2
Views
10K
  • · Replies 3 ·
Replies
3
Views
3K
  • · Replies 5 ·
Replies
5
Views
9K
Replies
10
Views
2K
  • · Replies 1 ·
Replies
1
Views
3K