Matrix inversion with complex numbers? or faster way?

Click For Summary

Discussion Overview

The discussion revolves around the challenges of matrix inversion involving complex numbers, particularly in the context of solving simultaneous equations. Participants share their experiences with calculations, methods used, and seek faster approaches for handling complex arithmetic, especially in preparation for an exam.

Discussion Character

  • Homework-related
  • Technical explanation
  • Debate/contested

Main Points Raised

  • One participant describes their lengthy process of solving a problem involving complex numbers and expresses a desire for a quicker method, questioning the utility of matrix inversion.
  • Another participant suggests that if calculations take a long time with a calculator, matrix inversion may not be faster.
  • Some participants recommend using polar form for complex multiplication and division to simplify calculations.
  • A participant mentions their calculator's capabilities and expresses uncertainty about performing matrix inversion with complex numbers.
  • One participant shares a resource for using their calculator effectively, leading to a significant reduction in calculation time.
  • Another participant proposes converting a system of complex equations into a system of real equations as a potential solution.
  • Cramer's rule is mentioned as a method that could be applicable to the problem at hand.
  • A participant reflects on their exam experience, noting that they encountered a simpler problem than expected, which they could solve easily with their calculator.

Areas of Agreement / Disagreement

Participants express varying opinions on the efficiency of matrix inversion for complex numbers, with no consensus on the best approach. Some agree on the utility of calculators for complex arithmetic, while others remain uncertain about their capabilities.

Contextual Notes

Some participants highlight limitations in their calculators' functionalities regarding complex numbers and matrix operations, which may affect their ability to solve problems efficiently.

asdf12312
Messages
198
Reaction score
1
matrix inversion with complex numbers?? or faster way?

Homework Statement


30t6tfr.png


The Attempt at a Solution



i managed to get the answer, but it took me like 30min. to work this by hand. i probably worked it differently than my instructor's method above, but wat i did was get the coefficients of V on one side, coefficient of V(ex) on the other side.

(3/0.2 + 1/(0.1+j0.1))V = (1/(0.1+j0.1))Vex
(20-5j)V = (5-5j)Vex
V=((5-5j)/(20-5j))Vex
V=(0.343<-30.96)Vex

which in fact did equal V=[0.294− j0.176]Vex when i converted to rectangular form. the problem is, this took me way too long to work, i was wondering if there was an easier way. like perhaps matrix inversion with complex numbers? i still have no idea how that works. because i have a test on this and if i spend 30min. to simplify equation like this, and plus this isn't even the answer to the problem, it's just one equation. is there an easier way??
 
Physics news on Phys.org
No calculator?
 
i have a calculator, i used it for some of the simpler calculations actualy . just don't know how to use matrix inversion for a problem liek this.
 
If it takes you 30 min. to do the calculations in the OP with a calculator, matrix inversion will not be any quicker.
 
should it not take 30min? maybe the method i used to do it was slow, i had to convert between rectangular and polar form a lot. plus i had to do multiplication with complex numbers by hand. couldn't do it with calculator.
 
For multiplication and division, work exclusively in polar form. When you obtain a final answer, you can convert it to rectangular, if you wish.
 
If someone tells you how to solve the problem by matrix inversion, how would you carry out the inversion? By hand? If you have to do complex arithmetic by hand, how do you plan to invert a matrix having complex numbers among the elements of the matrix?

If you try to invert a matrix by hand, the amount of number crunching involved won't be any easier than just solving the equations directly.

I can't believe you don't have a calculator that can do complex arithmetic.

You should get a TI-86 or a HP50G. You can find a TI-86 on eBay for $20 to $30. Right now I see an HP50G for a good price:

http://www.ebay.com/itm/BEAUTIFUL-HP-50g-Graphic-Calculator-NEVER-USED-/151039652398?pt=Calculators&hash=item232aaa322e

Both calculators can do complex arithmetic, including matrix inversion with complex entries.

Edit: You can also solve problems like this with resources available on the web, such as Wolfram Alpha.
 
Last edited:
I have a TI-83 plus. i can do normal matrix inversion but i don't know if i can do it with complex numbers.
 
Your TI-83 plus does complex number operations as a standard feature. It can convert between rectangular and polar form. It should not take you 30 min. to do the calculations listed in the OP. It would help you a lot to review the guidebook for this calculator. If a guidebook did not come with your calculator, you can download one from here:

http://education.ti.com/en/us/produ...g-calculators/ti-83-plus/downloads/guidebooks
 
  • #10
thanks very much! i actually decided to google it, found a site that had very easy to follow instructions: http://www.tc3.edu/instruct/sbrown/ti83/complx83.htm#Display

just managed to get the answer in like 10sec..i obviously was doing it wrong, haha. i didn't know my calculator could convert from rectangular to polar form or do complex number oprations, so i was doing it myself, just plugging in values into the calculator. like tan^-1(y/x) to find the angle. and yah, i don't think i need matrix inversion then.

also, i know its easier to use polar form for multiplication/division, my book just had a shortcut method that involved multiplying complex numbers this way: 1/(1-1i) = [1/(1-1i)] * [(1+1i)/(1+1i)] so it would get rid of any imaginary part in the denominator, since i^2=-1, so the answer would be (1+1i)/2 = 0.5+0.5i. this is what i meant by doing it by hand. but obviously with my calculator i can do this in like 1 sec.
 
Last edited:
  • #11
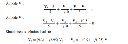
OK, just found out i cannot input complex numbers into matrices on my ti-83 plus. i have an exam coming up pretty soon, and here is a part requiring to solve simultaneous equations from a sample problem my teacher said might show up on it:
29mpoir.png


so i was wondring, is solving simulatneous equations with complex numbers doable by hand/calculator without matrix inversion, and if so how long that would take? if it helps using my calculator i worked out the matrix elements to be:

Code:
  [B]V1           V2 [/B]
[0.4+0.1i     -0.2] = [4.2]
[-0.2     0.4+0.1i] = [-2.1]
 
Last edited:
  • #12
  • #13
You can use Cramer's rule.

attachment.php?attachmentid=58607&stc=1&d=1368143765.png
 

Attachments

  • Cramer.png
    Cramer.png
    42.3 KB · Views: 1,764
  • #14
thanks. just finished my exam, went in there hoping for at most a 2x2 complex-number matrix because that's all i knew how to calculate, turns out there was only one problem like this and with a single node circuit too. so basically just a 1x1 matrix. which was easy, just used my calculator, no detreminants at all. thanks anyway :D
 

Similar threads

  • · Replies 26 ·
Replies
26
Views
3K
Replies
13
Views
2K
  • · Replies 2 ·
Replies
2
Views
3K
  • · Replies 3 ·
Replies
3
Views
2K
  • · Replies 13 ·
Replies
13
Views
3K
  • · Replies 1 ·
Replies
1
Views
2K
  • · Replies 6 ·
Replies
6
Views
1K
  • · Replies 3 ·
Replies
3
Views
15K
  • · Replies 1 ·
Replies
1
Views
2K
  • · Replies 48 ·
2
Replies
48
Views
17K