Measuring the Distance between the Fringes of a Diffraction Grating

Click For Summary

Homework Help Overview

The discussion revolves around measuring the distance between fringes produced by a diffraction grating, specifically using a CD as a transmission grating. Participants are exploring the most suitable method for measuring the distance between the first-order fringes and the implications of measurement uncertainty in their practical setup.

Discussion Character

  • Exploratory, Assumption checking, Conceptual clarification

Approaches and Questions Raised

  • Participants discuss two methods for measuring the distance between fringes: measuring the distance between two first-order fringes and dividing by two versus measuring from the principal maxima to each fringe and averaging. Questions arise regarding the implications of absolute uncertainty in these measurements.

Discussion Status

There is an active exploration of measurement techniques and their associated uncertainties. Some participants are questioning the assumptions about uncertainty propagation and discussing the accuracy of different measurement methods. Guidance has been offered regarding the consideration of error propagation in measurements.

Contextual Notes

Participants note that they are allowed to use certain formulas for uncertainty and are discussing the implications of measurement discrepancies in their experimental setup. The discussion includes references to specific uncertainties associated with their measurements.

KDPhysics
Messages
73
Reaction score
24
Homework Statement
Determining the pitch distance on a CD acting as a transmission grating.
Relevant Equations
$$d\sin\theta = n\lambda$$
I have been preparing for a physics practical on diffraction. More specifically, we will use a CD as a transmission grating (by peeling off the reflective layer), and measure the distance between the fringes for a specific distance between the CD and the viewing wall. However, it is unclear whether we should measure the distance between the two 1st order fringes and divide by two, or measure the distance from the principal maxima to the left 1st order, and then from the principal maxima to the right 1st order, and take the average. Which is more suitable for this experiment? I believe that there is no great difference, since the absolute uncertainty remains the same in both cases.
 
Physics news on Phys.org
What do you mean by absolute uncertainty? If you want to find the radius of a coin do you find the center first and then measure from the center of the coin to the edge or do you find the distance along a diameter and divide by two?
 
  • Like
Likes   Reactions: KDPhysics
Well, let the measurements for the 1st order right fringe be ##x_r\pm\delta x## and the measurement to the left be ##x_l\pm\delta x##. Taking the average of the two: ##\hat{x} = \frac{x_r+x_l}{2}\pm\delta x##.
If instead we measure the distance from one fringe to the other, and then divide by two: ##x = \frac{x_r+x_l}{2}\pm\delta x## which is the same.
 
KDPhysics said:
Well, let the measurements for the 1st order right fringe be ##x_r\pm\delta x## and the measurement to the left be ##x_l\pm\delta x##. Taking the average of the two: ##\hat{x} = \frac{x_r+x_l}{2}\pm\delta x##.
If instead we measure the distance from one fringe to the other, and then divide by two: ##x = \frac{x_r+x_l}{2}\pm\delta x## which is the same.
Please fix the LaTeX code to make it readable.
 
  • Like
Likes   Reactions: KDPhysics
kuruman said:
Please fix the LaTeX code to make it readable.
yeah should be fixed sorry
 
kuruman said:
What do you mean by absolute uncertainty? If you want to find the radius of a coin do you find the center first and then measure from the center of the coin to the edge or do you find the distance along a diameter and divide by two?
By absolute uncertainty, I mean the sensitivity in the measurement (if I were using a ruler, it would be ##\pm 0.001m##).
Also, in the case of the coin you usually don't have the exact center. Instead, in the diffraction pattern you do, it's the principal maxima.
 
KDPhysics said:
By absolute uncertainty, I mean the sensitivity in the measurement (if I were using a ruler, it would be ±0.001m±0.001m).
Thanks for fixing the LaTeX. Uncertainties don't add the way you show. You need to consider error propagation. See here for example. In the second procedure you add an extra uncertainty due to the measurement of the central maximum.

On edit: I used the coin example to illustrate that the determination of the radius is more accurate when you eliminate the uncertainty of finding the position of the center which is what you have to do here.
 
  • Like
Likes   Reactions: KDPhysics
Shouldn't the uncertainty be the same either way? Measuring from one fringe to the other, then the uncertainty will be 0.002m using a meter ruler. Similarly, measuring from the principal maxima to each fringe, the uncertainty will still be 0.002m.

Also, we can use the linear approximation for error propagation (since we're still in high school).

EDIT: measurement uncertainty should be ##\pm0.001m##
 
Last edited:
Both in the case of measuring from one fringe to the other, or from the principal maxima to each fringe, we're still measuring the distance between two points, so shouldn't the uncertainty be the same for both measurements?
 
  • #10
KDPhysics said:
Shouldn't the uncertainty be the same either way? Measuring from one fringe to the other, then the uncertainty will be 0.002m using a meter ruler. Similarly, measuring from the principal maxima to each fringe, the uncertainty will still be 0.002m.

Also, we can use the linear approximation for error propagation (since we're still in high school).
Did you read "Addition of measured quantities" in the link I posted? Apparently not. Please read it first and then calculate the uncertainties.
 
  • Like
Likes   Reactions: KDPhysics
  • #11
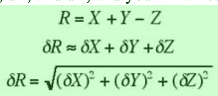
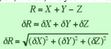
We're allowed to use the second formula (##\delta R = \delta X + \delta Y + \delta Z##).
 

Attachments

  • Schermata 2020-02-04 alle 20.03.08.png
    Schermata 2020-02-04 alle 20.03.08.png
    13.6 KB · Views: 244
  • #12
KDPhysics said:
We're allowed to use the second formula (##\delta R = \delta X + \delta Y + \delta Z##).
OK then, but let me ask you this. Suppose that you measure the two first order maxima from the center and you find that one is at a greater distance than the other by more than your assumed uncertainty. What will you conclude from that?
 
  • Like
Likes   Reactions: KDPhysics
  • #13
Ok, I think I got it. Since one is slightly farther away from the other, we should calculate the half range:
$$\frac{x_r - x_l}{2}>\delta x$$
assuming the right measurement is greater than the other. Then, we should be using this value as our uncertainty, which is greater than ##\delta x##. We can therefore conclude that measuring from one fringe to the other will decrease uncertainty.

Is this correct?
 
  • #14
Yes. That's the idea I tried to convey with the coin example. I have edited that post to make it clearer.
 
  • Like
Likes   Reactions: KDPhysics
  • #15
Thank you very much! In hindsight the coin example was very fitting...just too sleep deprived to understand I guess ahahah.
 
  • Like
Likes   Reactions: kuruman

Similar threads

  • · Replies 3 ·
Replies
3
Views
1K
Replies
6
Views
3K
  • · Replies 5 ·
Replies
5
Views
2K
  • · Replies 10 ·
Replies
10
Views
3K
  • · Replies 5 ·
Replies
5
Views
3K
Replies
1
Views
2K
Replies
5
Views
6K
  • · Replies 3 ·
Replies
3
Views
5K
  • · Replies 10 ·
Replies
10
Views
5K
  • · Replies 3 ·
Replies
3
Views
5K