Need help in Electric Flux within a cube with Gauss' Law

Click For Summary
SUMMARY

The discussion focuses on calculating electric flux through a cube using Gauss' Law, specifically the equation φ = ∫E * dA. The electric field is defined as E = -5x * E0/L i + 3z * E0/L k. Participants clarify that one cannot simply substitute L for the variables x and z; instead, integration must be performed over the defined area to accurately compute the flux for each side of the cube. The correct approach involves evaluating the electric field at specific points and integrating over the respective surfaces.

PREREQUISITES
  • Understanding of Gauss' Law and electric flux
  • Familiarity with vector calculus and surface integrals
  • Knowledge of electric fields and their representations
  • Basic proficiency in calculus, particularly integration techniques
NEXT STEPS
  • Study the application of Gauss' Law in various geometries
  • Learn about surface integrals in vector calculus
  • Explore electric field calculations in three-dimensional space
  • Review examples of electric flux calculations for different shapes
USEFUL FOR

Students studying electromagnetism, physics educators, and anyone involved in solving problems related to electric fields and flux calculations.

Blockade
Messages
68
Reaction score
0

Homework Statement


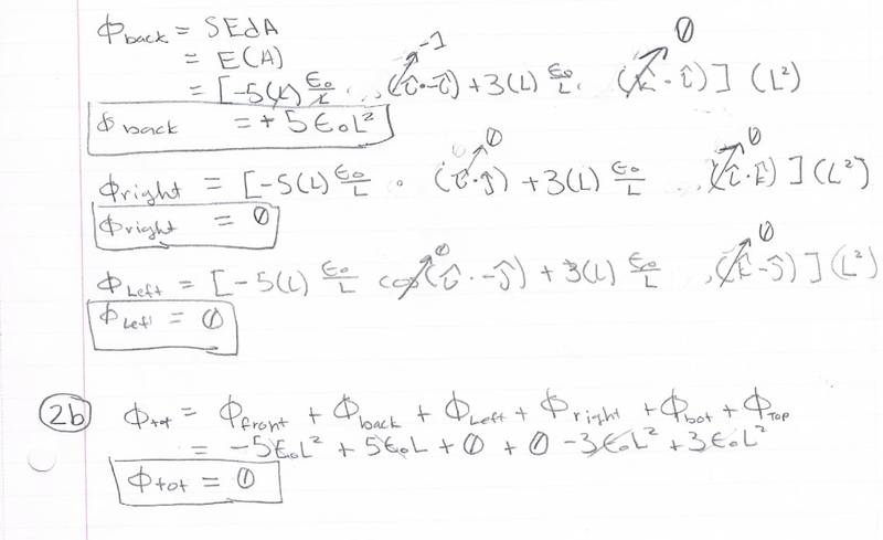
I need help in figuring out if I have done this problem correctly. From what I understand ∫E * dA = E*A, where E is the electric field and A is the area of a side. My biggest concern is if I can plug in the length "L" for the "x" and "z" variables within "E = -5x * E0/L i + 3z * E0/L k" to get the electric flux of each side since I assume that "L" is the value of those two variable.

55e5506d86.jpg

Given: [ε0, L]

Unknown: [Electric flux of the top, bottom, front, back, left, right side, and the total]

Homework Equations


Electric Flux: φ = ∫E * dA
E = -5x * E0/L i + 3z * E0/L k

The Attempt at a Solution


Page 1:
92a946750a.jpg


Page 2:
75cf175b09.jpg
 
Physics news on Phys.org
My biggest concern is if I can plug in the length "L" for the "x" and "z" variables within "E = -5x * E0/L i + 3z * E0/L k" to get the electric flux of each side since I assume that "L" is the value of those two variable.
It would not be appropriate to set x=L and z=L ... that is not what that equation means.
The equation ##\vec E(x,y,z) = \frac{E_0}{L}\left[-5x\hat\imath +3z\hat k \right]## tells you the value of ##\vec E## at different x,y,z positions in space.
So the value of ##\vec E## at x=0 and z=0 is different from that at x=0 and z=L. That is why you had to do an integral.
However, the geometry in this problem is simple enough that you will always be setting one variable to 0 or L and the flux only depends on one of the other variables.

You proceed by picking a side, then defining a small area on that side and working out the flux through that area in terms of the position.
Then you add up the flux through all the small areas that make up that side of the cube.
ie for the side in the x-y plane: 0<x<L, 0<y<L, z=0
##d\vec A = -\hat k dxdy## is the area element between x and x+dx and y and y+dy.
The flux through that area is ##d\phi = -\vec E(x,y,0)\cdot \hat k\; dxdy## ... and the total flux is given by the integral.
For this surface, the only non-zero flux is parallel to the surface (there is no flux through the surface).
... it kinda looks like this is what you are doing but I figured I'd better check.

Understanding that it is the flux through a side that counts, you can shortcut the process considerably ... ie, there is no component in the y direction so the flux through surfaces parallel to the x-z plane is zero.
No further maths needed.
 
Last edited:
Simon Bridge said:
It would not be appropriate to set x=L and z=L ... that is not what that equation means.
The equation ##\vec E(x,y,z) = \frac{E_0}{L}\left[-5x\hat\imath +3z\hat k \right]## tells you the value of ##\vec E## at different x,y,z positions in space.
So the value of ##\vec E## at x=0 and z=0 is different from that at x=0 and z=L. That is why you had to do an integral.
However, the geometry in this problem is simple enough that you will always be setting one variable to 0 or L and the flux only depends on one of the other variables.

You proceed by picking a side, then defining a small area on that side and working out the flux through that area in terms of the position.
Then you add up the flux through all the small areas that make up that side of the cube.
ie for the side in the x-y plane: 0<x<L, 0<y<L, z=0
##d\vec A = -\hat k dxdy## is the area element between x and x+dx and y and y+dy.
The flux through that area is ##d\phi = -\vec E(x,y,0)\cdot \hat k\; dxdy## ... and the total flux is given by the integral.
For this surface, the only non-zero flux is parallel to the surface (there is no flux through the surface).
... it kinda looks like this is what you are doing but I figured I'd better check.

Understanding that it is the flux through a side that counts, you can shortcut the process considerably ... ie, there is no component in the y direction so the flux through surfaces parallel to the x-z plane is zero.
No further maths needed.

Thank you, I will keep in mind to integrate the variables of dA and to be mindful of the upper and lower bounds of each problem.
However to clear things up, let's say if I were to re-do the φTop, would it equal to:

Etop = -5x E0/L i + 3z E0/L k
= -5x E0/L *(|i| |k| cos(90°)) + 3z E0/L * (|k| |k| cos(0°))
= 3 E0/L * ∫ z dz
= 3 E0/L * z2/2 | z = L, z = 0
= 3 E0 * L/2
?
Therefore, in its whole form it looks like this:
Etop = -5 E0/L * (0) * ∫ x dx + 3z E0/L * (1) * ∫ z dz ?

Meaning my original answer of φTop = 3E0L2 is incorrect?
 
Last edited:

Similar threads

  • · Replies 1 ·
Replies
1
Views
2K
  • · Replies 22 ·
Replies
22
Views
3K
  • · Replies 8 ·
Replies
8
Views
3K
  • · Replies 6 ·
Replies
6
Views
4K
Replies
6
Views
2K
  • · Replies 17 ·
Replies
17
Views
10K
  • · Replies 14 ·
Replies
14
Views
3K
  • · Replies 5 ·
Replies
5
Views
4K
  • · Replies 9 ·
Replies
9
Views
2K
  • · Replies 2 ·
Replies
2
Views
2K