Need help with calculating a Cv in PHYWE's Heat Capacity of gases

Click For Summary

Homework Help Overview

The discussion revolves around an experiment aimed at calculating the heat capacity at constant volume (Cv) for a gas, comparing the experimental value with a theoretical constant. The original poster is attempting to reconcile discrepancies in their calculations, specifically why their computed Cv differs from the expected result.

Discussion Character

  • Exploratory, Assumption checking, Problem interpretation

Approaches and Questions Raised

  • The original poster attempts to calculate Cv using provided experimental data but encounters a significant difference between their result and the expected value. They question the accuracy of their calculations and seek clarification on potential errors.

Discussion Status

Some participants have offered guidance regarding unit consistency and dimensional analysis, suggesting that the original poster verify their units. Others have pointed out a possible misunderstanding regarding the pressure value used in calculations, indicating that different values may have been applied incorrectly.

Contextual Notes

There is mention of a discrepancy in the pressure value used in calculations, with participants noting that the original poster may have used an outdated or incorrect value from the experiment documentation.

TechieDork
Messages
55
Reaction score
22
Homework Statement
-Calculating a Cv from the given equation and data , if everything goes right you'll obtain Cv=26 J*K^-1*mol^-1 as a result.
Relevant Equations
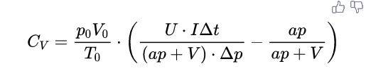
$$C_{V}=\frac{p_{0} V_{0}}{T_{0}} \cdot\left(\frac{U \cdot I \Delta t}{(a p+V) \cdot \Delta p}-\frac{a p}{a p+V}\right)$$
I've conducted this experiment yesterday. The main goal of this experiment is to find a gas constant R and compare it with its theoretical counterpart but I get stuck in calculating a Cv so I tried to find out what's wrong with my calculations by trying to calculate a Cv from the given data.

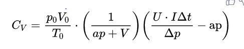
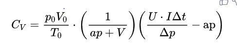
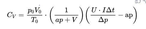
CV.JPG
...(1)

where p0 = 1013 hPa , T0=273.2 K , V0 = 22414 ml/mol
U = 4.75 V , I = 0.25 A
a = 0.855 cm^3/hPa
p = 0.147 hPa
V = 1.14 L = 1140 mL
delta(p)/delta(t) = 1.67 hPa/s or delta(t)/delta(t) = 0.5988 s/hPa

If everything goes right I'll obtain Cv = 26 J*K-1*mol^-1 as a result

My attempt :

CV2.JPG
...(2)
CV3.JPG
...(3)Plugged all the given values into the eq(2) and I got 42.67 instead of 26.

What is wrong with my calculation? , could someone please shed some light on this?Here this is the documentation : https://www.nikhef.nl/~h73/kn1c/praktikum/phywe/LEP/Experim/3_2_02.pdf (page 4 and 5)
 

Attachments

  • CV2.JPG
    CV2.JPG
    5.5 KB · Views: 240
Last edited:
Physics news on Phys.org
Are your units consistent? Try converting everything to SI units.
 
  • Informative
Likes   Reactions: TechieDork
mjc123 said:
Are your units consistent? Try converting everything to SI units.

I have tried a dimensional analysis with my units and yes...they are indeed consistent in the form of (J*K^-1*mol^-1).

I tried converting all of them to their SI units and plugged them in the equation but the result doesn't get anywhere near 26.
I think I'm getting stuck in the endless loop now. Could anyone please show me how?
 
Last edited:
I think you are mistaking ##p## and ##\Delta p## and and are substituting the wrong value for ##p##. According to the documentation, ##p=1011~\rm{hPa}## (see page 5).
 
You're right,p was indeed equal to 1011 hPa, although, they wrote that this part of the experiment was performed in another day, (probably in other terms) so that value of p is invalid, he should calculate the formula with p's original value.
 

Similar threads

  • · Replies 1 ·
Replies
1
Views
2K
  • · Replies 31 ·
2
Replies
31
Views
8K
Replies
1
Views
35K
Replies
2
Views
2K
  • · Replies 5 ·
Replies
5
Views
5K
  • · Replies 5 ·
Replies
5
Views
2K