New Adler book on GR: Why do these coefficients go to zero?

Click For Summary
SUMMARY

The discussion centers on the treatment of mixed derivatives with affine connections as presented in the new Adler book on General Relativity. Specifically, it explains why these mixed derivatives vanish in the second term, which is crucial for demonstrating that connections are not tensors. The reasoning is based on the Taylor series expansion of transformation coefficients evaluated at point P, where only first-order terms are retained, and second-order terms involving products of infinitesimal coordinate displacements are disregarded.

PREREQUISITES
  • Understanding of General Relativity concepts
  • Familiarity with affine connections
  • Knowledge of Taylor series expansions
  • Basic grasp of tensor calculus
NEXT STEPS
  • Study the properties of affine connections in General Relativity
  • Learn about the implications of tensorial vs. non-tensorial objects
  • Explore the application of Taylor series in differential geometry
  • Investigate the significance of first-order vs. second-order terms in mathematical proofs
USEFUL FOR

This discussion is beneficial for students and researchers in theoretical physics, particularly those focusing on General Relativity and differential geometry. It is also relevant for mathematicians interested in the applications of tensor calculus.

peasg
Messages
2
Reaction score
4
1722552254555.png

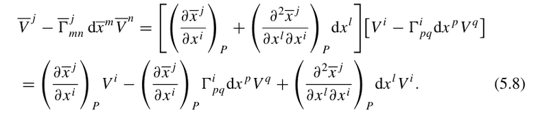
This is page 73 of the book. As you can see, the mixed derivatives with the affine connections vanish in the second term. Why does that happen? This is used to prove that the connections are not a tensor, and i figured you could also reason it out even without making those terms vanish.

OBS: The derivatives are avaliated at P, for the reason that this is obtained via a taylor series of the transformation coefficients.
 
  • Like
Likes   Reactions: PhDeezNutz and jbergman
Physics news on Phys.org
peasg said:
View attachment 349323
This is page 73 of the book. As you can see, the mixed derivatives with the affine connections vanish in the second term. Why does that happen?
The terms ##\left( \dfrac{\partial^2 \bar x^j}{\partial x^l \partial x^i } \right)_P \Gamma^i_{pq} V^q dx^l dx^p## have been dropped because they contain products ##dx^l dx^p##. Therefore, these terms are second-order in the infinitesimal coordinate displacements. Only terms up to first order need to be kept.
 
  • Like
Likes   Reactions: jbergman, PhDeezNutz, Nugatory and 1 other person
TSny said:
The terms ##\left( \dfrac{\partial^2 \bar x^j}{\partial x^l \partial x^i } \right)_P \Gamma^i_{pq} V^q dx^l dx^p## have been dropped because they contain products ##dx^l dx^p##. Therefore, these terms are second-order in the infinitesimal coordinate displacements. Only terms up to first order need to be kept.
Oh, that makes perfect sense. Thank you for your time!
 
  • Like
Likes   Reactions: PhDeezNutz and TSny

Similar threads

  • · Replies 19 ·
Replies
19
Views
7K
Replies
14
Views
3K
  • · Replies 2 ·
Replies
2
Views
2K
  • · Replies 5 ·
Replies
5
Views
2K
  • · Replies 31 ·
2
Replies
31
Views
6K
  • · Replies 21 ·
Replies
21
Views
6K
  • · Replies 15 ·
Replies
15
Views
6K
  • · Replies 9 ·
Replies
9
Views
5K
  • · Replies 14 ·
Replies
14
Views
3K
  • · Replies 5 ·
Replies
5
Views
7K