Nondimensionalization of diffusion equation

Click For Summary
SUMMARY

The forum discussion focuses on the nondimensionalization of the diffusion equation related to a dye diffusing into an environment of dimension L. The user seeks assistance in determining the appropriate dimensionless variables, specifically the values of the parameters α1, α2, α3, β1, β2, β3, γ1, γ2, and γ3. The discussion references the formal method of nondimensionalization as demonstrated in a Khan Academy video, indicating a structured approach to the problem. The user expresses uncertainty about the correctness of their results, particularly regarding the integral term in the conditions.

PREREQUISITES
  • Understanding of diffusion equations and their applications.
  • Familiarity with dimensional analysis and nondimensionalization techniques.
  • Knowledge of characteristic lengths in physical systems.
  • Basic proficiency in mathematical notation and manipulation.
NEXT STEPS
  • Study the process of nondimensionalization in detail, focusing on diffusion equations.
  • Research the significance of characteristic lengths in physical modeling.
  • Explore the implications of dimensionless parameters on system behavior.
  • Review examples of similar problems in fluid dynamics or heat transfer.
USEFUL FOR

Students and researchers in applied mathematics, physics, or engineering who are working on diffusion processes and require a solid understanding of nondimensionalization techniques.

DzoptiC
Messages
2
Reaction score
0

Homework Statement


We let a dye diffuses into an environment of dimension L. We inject that dye into a box by one face, at t = 0 on x = 0. The linear density c follows that equation :
upload_2017-4-23_11-22-49.png


with the conditions :
upload_2017-4-23_11-22-40.png

Homework Equations

/ questions[/B]
a. nondimensionalize the equations and the conditions
b. reveal a term homogeneous to time, and its signification
c. compare the characteristic lenghts of these equation systems

The Attempt at a Solution


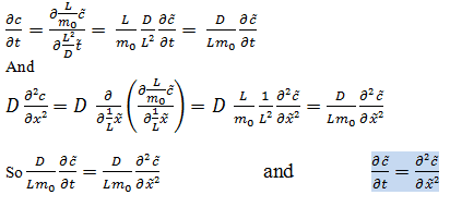
By nondimensionalize this equation, I found this :
upload_2017-4-23_11-24-30.png

But I think it's wrong... I use the "formal way" to nondimensionalize the equation as shown in the Khan academy video on youtube.
May I ask for help ?
Thanks a lot
 

Attachments

  • upload_2017-4-23_11-20-45.png
    upload_2017-4-23_11-20-45.png
    592 bytes · Views: 569
Physics news on Phys.org
I think you should start by finding out the numbers ##\alpha_1 , \alpha_2 , \alpha_3##, ##\beta_1 , \beta_2 , \beta_3##, ##\gamma_1 , \gamma_2 , \gamma_3## so that the variables

##\tilde{x}=L^{\alpha_1}m_0^{\alpha_2}D^{\alpha_3}x##
##\tilde{t}=L^{\beta_1}m_0^{\beta_2}D^{\beta_3}t##
##\tilde{c}=L^{\gamma_1}m_0^{\gamma_2}D^{\gamma_3}c##

become dimensionless. ##L## is any characteristic length of the system you want to choose.
 
Hi, I've tried what you've advised me, here are my results :
upload_2017-4-23_16-42-1.png

We therefore have:
upload_2017-4-23_16-43-59.png


For the conditions I found:

upload_2017-4-23_16-42-42.png


I'm not quite sure about the integral term though..
 

Attachments

  • upload_2017-4-23_16-42-25.png
    upload_2017-4-23_16-42-25.png
    3.3 KB · Views: 719

Similar threads

Replies
0
Views
1K
  • · Replies 2 ·
Replies
2
Views
2K
  • · Replies 6 ·
Replies
6
Views
2K
  • · Replies 2 ·
Replies
2
Views
3K
  • · Replies 19 ·
Replies
19
Views
2K
  • · Replies 13 ·
Replies
13
Views
3K
Replies
2
Views
2K
Replies
3
Views
2K
  • · Replies 3 ·
Replies
3
Views
2K
Replies
12
Views
2K