Objective function of a linear program with multiple variables

Click For Summary

Discussion Overview

The discussion revolves around identifying the objective function of a linear programming problem involving multiple variables, specifically in the context of a multivariate Markov chain model. Participants seek clarification on the notation and formulation of the objective function based on provided equations and constraints.

Discussion Character

  • Exploratory, Technical explanation, Debate/contested, Mathematical reasoning

Main Points Raised

  • One participant expresses confusion over the notation "MIN(lambda)wj" and seeks assistance in understanding its implications for the objective function.
  • Another participant interprets the notation as requiring a joint solution for w_j and lambda_jk that minimizes w_j while adhering to additional constraints.
  • A different participant notes that the equations provided appear to be constraints rather than the objective function itself, suggesting that w_j might be the objective function but finds it unusual to define constraints in terms of the objective function.
  • One participant proposes various forms of objective functions, including "f(wj) = wj" and combinations involving lambda variables, but indicates that these did not yield the expected results from the referenced paper.
  • Another participant raises the possibility that multiple values for lambda could lead to the same w_j, suggesting that the participant verify their values and calculations against the paper's requirements.
  • Concerns are expressed about the accuracy of the paper's results, with one participant noting discrepancies in their findings compared to the paper's conclusions.

Areas of Agreement / Disagreement

Participants do not reach a consensus on the formulation of the objective function, and multiple competing interpretations of the notation and equations remain. The discussion reflects uncertainty regarding the correct approach and the validity of the referenced paper's results.

Contextual Notes

Participants mention missing definitions and important steps in the solution process as limitations in the provided material. There is also uncertainty about the correctness of the values derived for lambda and w_j.

Yassineon
Messages
5
Reaction score
0
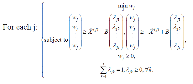
Hello,
Please I need help to find the objective function of a linear program (attachement : example).
I tried to figure it out from the formula provided in (attachement : formula) but I couldn't understand it, it's written (MIN(lambda)wj) I think it's the key to my question ! ( Full file is attached too )
Any help as little as it could be, would be most welcomed!
Thanks in advance.

Moderator's note: Copyrighted article removed. Instead, here is the reference:
V. Vamitha et al., International Journal of Fuzzy Mathematics and Systems 2(3), 217-230 (2012)
 

Attachments

  • Formula (page 6).PNG
    Formula (page 6).PNG
    7.3 KB · Views: 253
  • Example (Page 9).PNG
    Example (Page 9).PNG
    9.2 KB · Views: 251
Last edited by a moderator:
Technology news on Phys.org
I am not familiar with the notation around the min_lambda w_j ... . But given the statement starts with "for each j" and contains only one w_j the only sensible way to read this for me is "for each j, find a joint solution for w_j and the lambda_jk that minimizes w_j and obeys the additional constraints mentioned."
 
Thank you Very much Timo for your help, I appreciate it.
But I'm still confused about the objective function formula ...
 
I'm also struggling with the notation, but it looks to me like you haven't shown us the objective function. They equations in the images all look like constraints to me - they're inequalities. The objective function looks to me to be ##w_j##, which is presumably defined somewhere. Although defining constraints in terms of the objective function seems odd to me.

You don't have a link to the paper? A copy on arxiv.org, maybe?
 
If the objective is to minimize wj then suitable objective functions would be "f(wj) = wj", "f(wj) = 1.0 * wj" or "f(wj, {lambda_jk}) = 1.0 * wj + 0.0 * lambda_j1 + 0.0 * lambda_j2 + ...".
 
Thanks Timo for your response, well I already tried that objective function and tried also "0.0 * wj ..+ 1.0 * lambda_j1 + 1.0 * lambda_j2 + + 1.0 * lambda_j3 + 1.0 * lambda_j4 ". but couldn't get the same solution of the paper (((lambda's estimators for the inequalities that I posted are the 4th row of the solution attached)))
so it seems that it's another objective function.
 

Attachments

  • Solution.png
    Solution.png
    5.9 KB · Views: 246
Possibly. It could also be that there are multiple values for the lambda that lead to the same wj. Are your wj correct? Another option is that you made an error somewhere. I recommend to
1) Manually check that your solution satisfies the constraints. lambda>0 and sum(lambda)=1 can be seen directly from just looking at the numbers (-> the solution of the paper satisfies them); the other two relations are at least simple to verify.
2) Verify that you have the same Xj and B as the paper. On first glance, they are not explicitly given by the paper. So double-check your calculations.

And of course the paper could be wrong.
 
I really appreciate you help Timo, thanks a lot. for the points that you mentionned :

1) I didn't get lambda's that sum up to 1, I got some odd values, so I removed them all.
2) Yes that's the problem the paper tries to aggregate the results so they removed important steps for the solution, I was able to rewrite the other coefficients in the inequalities following the steps mentionned by the paper, but unfortunately I got different results.

As you said nothing proves that their results are right !
 

Similar threads

Replies
5
Views
2K
  • · Replies 6 ·
Replies
6
Views
2K
Replies
5
Views
981
  • · Replies 8 ·
Replies
8
Views
2K
  • · Replies 6 ·
Replies
6
Views
2K
  • · Replies 1 ·
Replies
1
Views
2K
  • · Replies 4 ·
Replies
4
Views
5K
  • · Replies 3 ·
Replies
3
Views
2K
Replies
9
Views
3K
  • · Replies 9 ·
Replies
9
Views
2K