Partial derivatives transformation

Click For Summary
SUMMARY

The discussion centers on the application of partial derivatives in solving a mathematical problem involving transformations. The user successfully navigated part "a" of the homework by following the example provided, but encountered difficulties in part "b" when attempting to simplify the expression. A key takeaway is the clarification that the second derivative with respect to time, denoted as \frac{\partial^2}{\partial t^2}, is not equivalent to squaring the first derivative \left(\frac{\partial}{\partial t}\right)^2. The user ultimately shared their solution process, emphasizing the importance of rigorous algebra and the definition of gamma in reaching the correct answer.

PREREQUISITES
  • Understanding of partial derivatives and their notation
  • Familiarity with algebraic manipulation and simplification techniques
  • Knowledge of the definition and application of gamma in calculus
  • Basic proficiency in solving differential equations
NEXT STEPS
  • Study the properties of partial derivatives in multivariable calculus
  • Learn about the application of the gamma function in calculus
  • Explore advanced algebra techniques for simplifying complex expressions
  • Investigate the differences between higher-order derivatives and their notation
USEFUL FOR

Students studying calculus, particularly those focusing on partial derivatives and transformations, as well as educators seeking to enhance their teaching methods in advanced mathematics.

nmsurobert
Messages
288
Reaction score
36

Homework Statement


AF4D0A34-5C5A-4476-8592-E689D996A600.jpg


Homework Equations


included in the first picture

The Attempt at a Solution


A5BFD7D8-46E4-4F00-8B23-05386C302822.jpg


i feel confident in my answer to part "a". i pretty much just did what the u and v example at the top of the page did. but for part "b" i tried to distribute and collect like terms and what not and i ended up with a huge mess. so i can anyone tell me if I am on the right track. and that the end product should like look a huge mess of terms.

thanks!
 
Physics news on Phys.org
##\frac{\partial^2}{\partial t^2} \neq \left(\frac{\partial}{\partial t}\right)^2##
You have to apply the derivative twice.
 
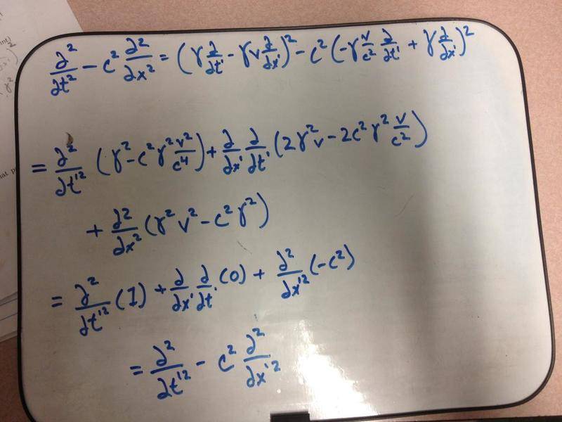
so i figured out a solution and i thought i would add it here in case someone googling for information stumbles upon this thread.
F4A0A850-BBAF-4002-9672-6FAB2AB24269.jpg


i get from the second step to the third step (where i am left only with derivatives and a c^2) using the definition of gamma given to me and some rigorous algebra.
took me a solid two days to figure this out.
 

Similar threads

  • · Replies 2 ·
Replies
2
Views
2K
Replies
9
Views
2K
Replies
5
Views
4K
  • · Replies 1 ·
Replies
1
Views
1K
Replies
2
Views
2K
  • · Replies 3 ·
Replies
3
Views
2K
Replies
10
Views
3K
  • · Replies 2 ·
Replies
2
Views
2K
  • · Replies 4 ·
Replies
4
Views
2K
  • · Replies 1 ·
Replies
1
Views
1K