Probability density for the hydrogen atom

Click For Summary

Homework Help Overview

The discussion revolves around the probability density of the hydrogen atom, specifically focusing on the superposition of wave functions and their implications for normalization and representation in the xy-plane.

Discussion Character

  • Conceptual clarification, Mathematical reasoning, Assumption checking

Approaches and Questions Raised

  • Participants explore the relationship between the wave functions and their squared magnitudes, questioning the correctness of their expressions. There is discussion about the normalization of the wave function and its representation in a graphical context.

Discussion Status

Some participants have provided insights regarding the normalization of wave functions and the implications of real-valued functions. Questions remain about the complexity of the results and their graphical representation, indicating an ongoing exploration of the topic.

Contextual Notes

There are references to specific guidelines for asking homework questions, emphasizing the importance of demonstrating effort in understanding the material. Additionally, there is mention of potential simplifications in the results that may not align with expectations.

wakaranai
Messages
5
Reaction score
0
Homework Statement
Consider a superposition state |Ψ⟩ = (|2, 0, 0⟩ + |2, 1, 0⟩) of the hydrogen atom.
a) Calculate the probability density at t = 0 and sketch the function in the (xy) plane.
b) Calculate ⟨Ψ|r|Ψ⟩ and mark on the graph the expected value of the position obtained in part (a). Interpret your result.
Relevant Equations
I'm not certain about the equations
I did this and I don't know if it's correct:
prob.jpeg
 
Last edited:
Physics news on Phys.org
:welcome:

Please see the guidelines for asking for homework help:

https://www.physicsforums.com/threads/homework-help-guidelines-for-students-and-helpers.635513/

Here are some common mistakes to avoid:
  • Don't simply say "I have no clue," "I have no idea where to start," or "I'm completely lost."
    These don't qualify as attempts. Instead, it suggests you haven't put much effort into reading and understanding your textbook and lecture notes, going over similar examples, etc. The helpers aren't here to answer your questions so that you don't have to read your book. We get that some people say this even though they've put in the effort. If this is you, please heed the next bit of advice.
 
PeroK said:
:welcome:

Please see the guidelines for asking for homework help:

https://www.physicsforums.com/threads/homework-help-guidelines-for-students-and-helpers.635513/

Here are some common mistakes to avoid:
  • Don't simply say "I have no clue," "I have no idea where to start," or "I'm completely lost."
    These don't qualify as attempts. Instead, it suggests you haven't put much effort into reading and understanding your textbook and lecture notes, going over similar examples, etc. The helpers aren't here to answer your questions so that you don't have to read your book. We get that some people say this even though they've put in the effort. If this is you, please heed the next bit of advice.
So sorry, now i tried to include my attempt.
(English is not my first language)
 
wakaranai said:
So sorry, now i tried to include my attempt.
(English is not my first language)
If ##\psi = \psi_1 + \psi_2##. Which of these is correct?
$$|\psi|^2 = |\psi_1|^2 + |\psi_2|^2$$$$|\psi|^2 = (\psi_1 + \psi_2)(\psi_1^* + \psi_2^*) = |\psi_1|^2 + |\psi_2|^2 + \psi_1\psi_2^* + \psi_2 \psi_1^* $$
 
  • Like
Likes   Reactions: topsquark
PeroK said:
If ##\psi = \psi_1 + \psi_2##. Which of these is correct?
$$|\psi|^2 = |\psi_1|^2 + |\psi_2|^2$$$$|\psi|^2 = (\psi_1 + \psi_2)(\psi_1^* + \psi_2^*) = |\psi_1|^2 + |\psi_2|^2 + \psi_1\psi_2^* + \psi_2 \psi_1^* $$
the second one...
in this case ψ_1=ψ*_1 (and the same for ψ_2)?
 
wakaranai said:
the second one...
in this case ψ_1=ψ*_1 (and the same for ψ_2)?
Yes, those particular wave functions are real-valued.

Note also that the wave-function you have been given is not normalised:
wakaranai said:
Consider a superposition state |Ψ⟩ = (|2, 0, 0⟩ + |2, 1, 0⟩) of the hydrogen atom.
That wavefunction has a modulus squared of ##2##. I would have expected:
$$\ket \psi = \frac 1 {\sqrt 2}\big (\ket {2,0,0} + \ket {2,1,0} \big )$$
 
PeroK said:
Yes, those particular wave functions are real-valued.

Note also that the wave-function you have been given is not normalised:

That wavefunction has a modulus squared of ##2##. I would have expected:
$$\ket \psi = \frac 1 {\sqrt 2}\big (\ket {2,0,0} + \ket {2,1,0} \big )$$
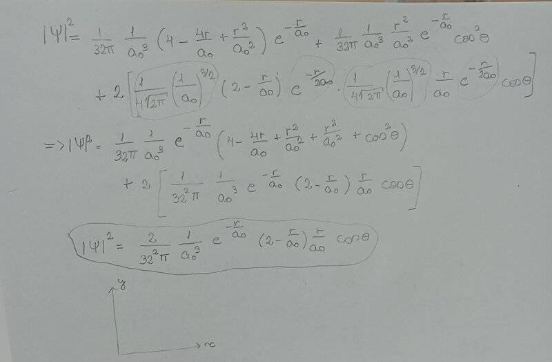
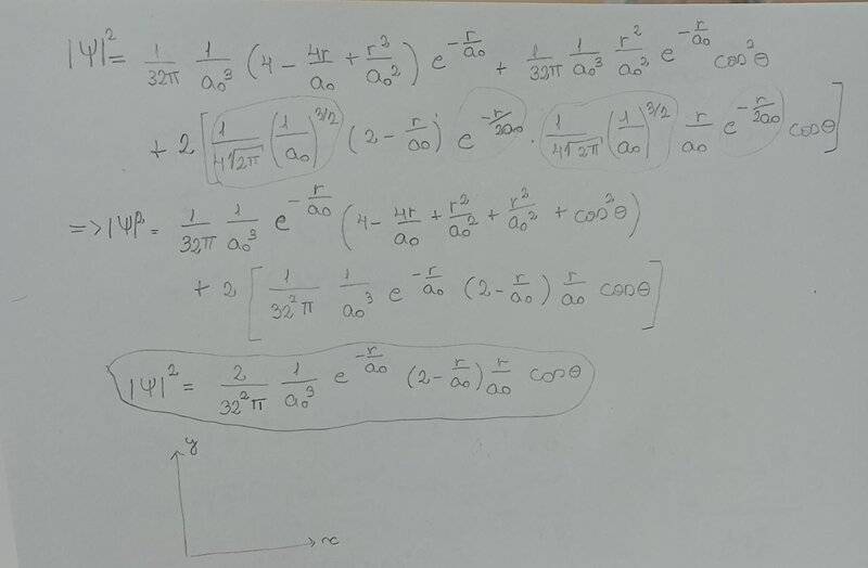
prob2.jpeg


I don't know how to relate the result with the plot in xy plane
 
wakaranai said:
View attachment 330311

I don't know how to relate the result with the plot in xy plane
You seem to have got a lot of simplification for your final answer. Are you sure about that? I would expect the result to be messy.

Note that, in the x-y plane, we have ##\cos \theta = 0##. That should simplify things. Even so, sketching that function wouldn't be easy!
 
PeroK said:
You seem to have got a lot of simplification for your final answer. Are you sure about that? I would expect the result to be messy.

Note that, in the x-y plane, we have ##\cos \theta = 0##. That should simplify things. Even so, sketching that function wouldn't be easy!
So |Ψ|^2 = |Ψ_1|^2
 
  • #10
wakaranai said:
So |Ψ|^2 = |Ψ_1|^2
Looks like it.
 

Similar threads

Replies
3
Views
2K
  • · Replies 1 ·
Replies
1
Views
2K
Replies
6
Views
4K
  • · Replies 0 ·
Replies
0
Views
2K
  • · Replies 2 ·
Replies
2
Views
2K
  • · Replies 4 ·
Replies
4
Views
2K
  • · Replies 1 ·
Replies
1
Views
2K
  • · Replies 16 ·
Replies
16
Views
8K
Replies
3
Views
2K
  • · Replies 5 ·
Replies
5
Views
3K