Problem with checking solution by wolframalpha

  • Context: Undergrad 
  • Thread starter Thread starter polibuda
  • Start date Start date
Click For Summary

Discussion Overview

The discussion revolves around a participant's difficulty in verifying their solution to a system of differential equations using Wolfram Alpha. The equations in question are x' = 3x - 4y + 1 and y' = 4x - 7y + 10t. The participant seeks clarification on the discrepancy between their solution and the output from the calculator, as well as alternative methods for checking solutions.

Discussion Character

  • Technical explanation, Debate/contested, Mathematical reasoning

Main Points Raised

  • One participant suggests verifying the solution by substituting it back into the original differential equations to check if it holds true.
  • Another participant questions whether the original equations were entered correctly into Wolfram Alpha, noting that the presence of the term 10t in the y' equation seems problematic.
  • A further comment indicates that Wolfram Alpha may have interpreted the equations differently, potentially solving them with a constant term instead of the time-dependent term.

Areas of Agreement / Disagreement

Participants express differing views on the correctness of the solution provided by the original poster and the input into Wolfram Alpha. There is no consensus on the resolution of the discrepancy, and the discussion remains unresolved.

Contextual Notes

There are potential limitations regarding the interpretation of the equations, particularly concerning the presence of the term 10t versus a constant. The discussion does not resolve these ambiguities.

polibuda
Messages
51
Reaction score
9
TL;DR
System of differential equations
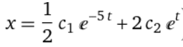
My problem is that I can't check solution of task in any calculator (only in wolfram). I have the system of differential equations:
x'=3x-4y+1
y'=4x-7y+10t
I solved it and the result is:
1607966152282.png

1607966196707.png

but when I check result in wolfram I receive something like that:
1607966312855.png

What is the problem? Are any else another calculators to check solutions of system of differential equations?
 
Physics news on Phys.org
Have you hand checked your result? ie compute x' and y' from your solution and plug back into the original to verify that they work?

I would not waste time unless you've got it to waste on why an online calculator seems to differ from your result.
 
That is good advice. Thank you for help.
 
Are you sure you typed it correctly into Wolfram Alpha? The solution you posted can't be right, because there is no way for it to give the 10t term on the RHS of the y' equation.
 
  • Like
Likes   Reactions: Infrared
phyzguy said:
Are you sure you typed it correctly into Wolfram Alpha? The solution you posted can't be right, because there is no way for it to give the 10t term on the RHS of the y' equation.
In particular, it looks like the WA answer solves the system

$$x'=3x-4y+1$$ $$y'=4x-7y+10$$

(with a constant ##10## instead of ##10t##). I think this is the typo.
 
  • Like
Likes   Reactions: phyzguy

Similar threads

  • · Replies 4 ·
Replies
4
Views
2K
  • · Replies 1 ·
Replies
1
Views
2K
  • · Replies 4 ·
Replies
4
Views
3K
  • · Replies 24 ·
Replies
24
Views
3K
  • · Replies 5 ·
Replies
5
Views
4K
  • · Replies 4 ·
Replies
4
Views
2K
  • · Replies 23 ·
Replies
23
Views
6K
  • · Replies 3 ·
Replies
3
Views
2K
  • · Replies 17 ·
Replies
17
Views
3K
  • · Replies 1 ·
Replies
1
Views
4K