Projectile Motion Question (Envelope of trajectories) query

  • Thread starter Thread starter laser
  • Start date Start date
  • Tags Tags
    Projectiles
Click For Summary

Homework Help Overview

The discussion revolves around a projectile motion problem involving the trajectory of a ball and its interaction with a wall. Participants are examining two similar questions, one posed by a professor and another found in a textbook, questioning their equivalence and the correctness of their respective solutions.

Discussion Character

  • Mixed

Approaches and Questions Raised

  • Participants are exploring the implications of setting the discriminant of a quadratic equation to zero, questioning what this means for the trajectory of the ball and its peak height relative to the wall.
  • Some participants express confusion about the handwritten solutions and the reasoning behind the methods used, particularly regarding the conditions under which the ball just clears the wall.
  • There is a discussion about the differences between minimizing velocity and ensuring the projectile clears the wall, with references to specific angles and conditions for the trajectory.

Discussion Status

The conversation is ongoing, with participants actively questioning each other's reasoning and interpretations. Some guidance has been offered regarding the implications of the discriminant and the conditions for the projectile's trajectory, but no consensus has been reached on the correctness of the solutions presented.

Contextual Notes

Participants are working under the constraints of homework rules, which may limit the information they can share or the methods they can use. There is also a reference to a specific example from the professor that may not align with the current problem being discussed.

laser
Messages
104
Reaction score
17
Homework Statement
Two similar Q's shown in description
Relevant Equations
general equations of motion
1702926140415.png
1702926148394.png


The first question is one my professor gave me, and the second one is a question I found in the book. To me, it looks like they are identical. The professor did an exercise similar to the one in class (basically the exact same, apart the wall had height l xD. (l being the distance from ball to wall))

I have attached my solution using my professor's way below.

Note that the first equation I wrote down is simply the trajectory of the ball, with time "t" eliminated.

1702926314868.png

1702926324404.png


However, something concerns me. This answer does not match the multiple choice answers in the book. Furthermore, I did the problem another way and I got the multiple choice option (d). Also - another source: https://math.stackexchange.com/questions/3668451/derivation-check-of-a-parabolic-trajectory-problem

On the other hand, I cannot see how my professor's method is wrong. Is it possible that both answers are correct?

This is a long question, so thanks in advance for reading it!
 
Physics news on Phys.org
I don't understand your handwritten solution. You say that the discriminant must be zero. What exactly are you setting equal to zero in your solution?
 
kuruman said:
I don't understand your handwritten solution. You say that the discriminant must be zero. What exactly are you setting equal to zero in your solution?
Sorry if it's unclear, on the last line of the first page, I have just simplified the 3rd line from the bottom on the first page. (You can just ignore the 2nd last line on the first page I guess)

I set the discriminant equal to zero on the second page, right hand side.
 
laser said:
Homework Statement: Two similar Q's shown in description
Relevant Equations: general equations of motion

View attachment 337386View attachment 337387

The first question is one my professor gave me, and the second one is a question I found in the book. To me, it looks like they are identical. The professor did an exercise similar to the one in class (basically the exact same, apart the wall had height l xD. (l being the distance from ball to wall))

I have attached my solution using my professor's way below.

Note that the first equation I wrote down is simply the trajectory of the ball, with time "t" eliminated.

View attachment 337388
View attachment 337389

However, something concerns me. This answer does not match the multiple choice answers in the book. Furthermore, I did the problem another way and I got the multiple choice option (d). Also - another source: https://math.stackexchange.com/questions/3668451/derivation-check-of-a-parabolic-trajectory-problem

On the other hand, I cannot see how my professor's method is wrong. Is it possible that both answers are correct?

This is a long question, so thanks in advance for reading it!
First, the written solution looks wrong to me. Note that, by symmetry, the top of the wall must be the highest point. That should make things a lot simpler.

Second, one of the multiple choice is right, acccording to my solution.
 
  • Like
Likes   Reactions: laser
If the justification for setting the discriminant equal to zero is that there be "only one angle" as you say on the first, then you must set the discriminant of the quadratic for the tangent equal to zero. On the first page you show that the tangent is double valued.
 
kuruman said:
If the justification for setting the discriminant equal to zero is that there be "only one angle" as you say on the first, then you must set the discriminant of the quadratic for the tangent equal to zero. On the first page you show that the tangent is double valued.
I do set the discriminant equal to zero on the 2nd page though.
 
PeroK said:
First, the written solution looks wrong to me. Note that, by symmetry, the top of the wall must be the highest point. That should make things a lot simpler.

Second, one of the multiple choice is right, acccording to my solution.
If the top of the wall is the highest point, then the discriminant is zero, no? Because it "just" clears the wall. Which means that there is only one solution. Can you elaborate more on why the written solution is wrong?
 
laser said:
If the top of the wall is the highest point, then the discriminant is zero, no? Because it "just" clears the wall. Which means that there is only one solution. Can you elaborate more on why the written solution is wrong?
I didn't look at the solution in detail. I meant it was wrong because it gave the wrong answer!

I didn't do it your way. It looks too complicated for this problem.
 
PeroK said:
I didn't look at the solution in detail. I meant it was wrong because it gave the wrong answer!

I didn't do it your way. It looks too complicated for this problem.
Ah okay. I have an exam in a few days and the handwritten way is the way the professor does it :P. I am not sure why it is giving the wrong answer though...
 
  • #10
laser said:
Ah okay. I have an exam in a few days and the handwritten way is the way the professor does it :P. I am not sure why it is giving the wrong answer though...
Why set the discriminant to zero? Which @kuruman already asked!
 
  • #11
PeroK said:
Why set the discriminant to zero? Which @kuruman already asked!
1702929399469.png


Basically, if there are two roots, then neither of them will be the "high point" of their trajectory. This can be seen from the 1st diagram on the right.

However, if there is only one root (i.e. discriminant = 0), the ball "barely" hits the wall, and this point will also be the peak height of the ball. (I believe the 2nd diagram in the picture is misleading because if it is true then there is another angle that can hit it). Do you agree with this?
 
  • #12
But, that's a different problem. You've minimised the velocity to hit the top of the wall. That's not what this problem asks you to do. With your solution the ball will not reach your friend!
 
  • #13
PeroK said:
But, that's a different problem. You've minimised the velocity to hit the top of the wall. That's not what this problem asks you to do. With your solution the ball will not reach your friend!
Interesting, I just rechecked the example the professor did, and indeed, that question did ask for the "minimum speed"! Here was the exact wording:
1702930117616.png


So seems like they are different problems :O.

However, I am not really convinced. I believe you are correct, but I don't get it. How am I minimising the velocity? I suppose it's because the ball "just" hits the wall? But if it "just" hits the wall and there is only one root (discriminant = 0), then the ball is at its peak at the top of the wall, correct?

So if it has travelled a distance "l" to get there, and the top is the peak, then why wouldn't it reach my friend if the ball just has to travel "l" more?
 
  • #14
I agree with @PeroK that setting the discriminant equal to zero addresses a different problem. For one thing you found that the discriminant method yields a projection angle ##\tan\theta =\dfrac{v_0^2}{gl}.## How can that projection angle guarantee that the projectile just clears the height ##h## without being dependent on ##h##?

Perhaps you might consider taking a look at this article which I wrote for people like you who get tangled up with quadratics.
 
  • Like
Likes   Reactions: laser
  • #15
laser said:
Interesting, I just rechecked the example the professor did, and indeed, that question did ask for the "minimum speed"! Here was the exact wording:
View attachment 337395

So seems like they are different problems :O.

However, I am not really convinced. I believe you are correct, but I don't get it. How am I minimising the velocity? I suppose it's because the ball "just" hits the wall? But if it "just" hits the wall and there is only one root (discriminant = 0), then the ball is at its peak at the top of the wall, correct?

So if it has travelled a distance "l" to get there, and the top is the peak, then why wouldn't it reach my friend if the ball just has to travel "l" more?
I know this problem and it is a somewhat delicate argument. With a typical velocity there are two solutions: one where the projectile peaks before the wall (and clears the wall on the way down); and, one where the ball clears the wall while still on the way up. The minimum velocity coincides with the case where it clears the wall on the way down, but there is no second solution. The reason is that if, for a certain ##v##, you could clear the wall on the way up, you could certainly clear the wall with a lower velocity and ##v## cannot be the minimum.

That's why, for this problem, you are looking for ##v_0## where there is one and only one solution for ##\alpha##.
 
  • Like
Likes   Reactions: laser
  • #16
kuruman said:
I agree with @PeroK that setting the discriminant equal to zero addresses a different problem. For one thing you found that the discriminant method yields a projection angle ##\tan\theta =\dfrac{v_0^2}{gl}.## How can that projection angle guarantee that the projectile just clears the height ##h## without being dependent on ##h##?
That is correct, actually. The relation between ##v_0## and ##\tan \alpha## is independent of ##h##.
 
  • #17
PeroK said:
I know this problem and it is a somewhat delicate argument. With a typical velocity there are two solutions: one where the projectile peaks before the wall (and clears the wall on the way down); and, one where the ball clears the wall while still on the way up. The minimum velocity coincides with the case where it clears the wall on the way down, but there is no second solution. The reason is that if, for a certain ##v##, you could clear the wall on the way up, you could certainly clear the wall with a lower velocity and ##v## cannot be the minimum.

That's why, for this problem, you are looking for ##v_0## where there is one and only one solution for ##\alpha##.
AH, okay. My misconceptions are clear now. It does make sense that if the ball can "just" clear the wall on the way up, there must exist a second solution. So the diagrams I posted before were actually correct. Just one more thing nagging me:

The minimum velocity coincides with the case where it clears the wall on the way down, but there is no second solution.
This is equivalent to saying that the minimum velocity happens when the discriminant is zero. I am still a little puzzled over this.
 
  • #18
PeroK said:
That is correct, actually. The relation between ##v_0## and ##\tan \alpha## is independent of ##h##.
I don't see that. From the range equation we have $$2l=\frac{2v_{0y}v_{0x}}{g}\implies v_{0x}v_{0y}=gl.\tag{1}$$From the zero y-component at maximum height ##h## condition we have $$v_{0y}^2=2gh.\tag{2}$$ Divide equation (2) by equation (1) to get $$\frac{v_{0y}^2}{{v_{0y}v_{0x}}}=\frac{2gh}{gl}\implies\frac{v_{0y}}{v_{0x}}=\tan\theta=\frac{2h}{l}.$$If, as @laser claims, it is also true that ##\tan\theta =\dfrac{v_0^2}{gl}##, then we have that $$\frac{v_0^2}{gl}=\frac{2h}{l}\implies v_0^2=2gh.$$ All is good if @laser corrects the expression on page 2 of the handwritten notes to $$\tan\theta =\frac{v_{0y}^2}{gl}.$$
 
  • Sad
Likes   Reactions: PeroK
  • #19
laser said:
AH, okay. My misconceptions are clear now. It does make sense that if the ball can "just" clear the wall on the way up, there must exist a second solution.
No. If you clear the wall on the way up, then you can reduce the velocity, increase the angle and still clear the wall.
laser said:
This is equivalent to saying that the minimum velocity happens when the discriminant is zero. I am still a little puzzled over this.
If the discriminant is non-zero, then there is a second solution for that ##v_0##. Two solutions imply you can find a solution for a smaller ##v_0## at some intermediate angle.

I assume that's your professor's argument. It's somewhat delicate, as I said before.
 
  • Like
Likes   Reactions: laser
  • #20
In fact, I have a really neat solution in my notes! It's almost as good as @kuruman 's vector solution.
 
  • #21
kuruman said:
I don't see that. From the range equation we have $$2l=\frac{2v_{0y}v_{0x}}{g}\implies v_{0x}v_{0y}=gl.\tag{1}$$From the zero y-component at maximum height ##h## condition we have $$v_{0y}^2=2gh.\tag{2}$$ Divide equation (2) by equation (1) to get $$\frac{v_{0y}^2}{{v_{0y}v_{0x}}}=\frac{2gh}{gl}\implies\frac{v_{0y}}{v_{0x}}=\tan\theta=\frac{2h}{l}.$$If, as @laser claims, it is also true that ##\tan\theta =\dfrac{v_0^2}{gl}##, then we have that $$\frac{v_0^2}{gl}=\frac{2h}{l}\implies v_0^2=2gh.$$ All is good if @laser corrects the expression on page 2 of the handwritten notes to $$\tan\theta =\frac{v_{0y}^2}{gl}.$$
That's the problem in the OP! @laser and I are discussing the solution to the mimimum velocity to clear a wall. This is madness!!
 
  • #22
PeroK said:
No. If you clear the wall on the way up, then you can reduce the velocity, increase the angle and still clear the wall.
Another way of seeing this: For a fixed ##v_0## you can plot the highest clearable wall as a function of how far away the wall is. This function will be monotonically decreasing with the distance to the wall. The velocity of the clearing trajectory must be tangent to the function at the clearing point and therefore have a negative slope - ie, on the way down.
 
  • Like
Likes   Reactions: PeroK
  • #23
The question asks: "Don's solve this from scratch. Just check special cases". To me, that says that we should not be calculating discriminants.

We can look at the special case where ##l## is zero and we are shooting for the top of a wall directly adjacent to us. The required initial speed is obvious and three of the five possible answers are eliminated.

Next, we might look at the special case where the initial angle is 45 degrees and ##l## is [back of the envelope calculation is simple] x times h for an obvious x. A bit of algebra where things simplify nicely shows that another answer is eliminated while one remains correct.
 
  • Like
Likes   Reactions: Orodruin
  • #24
jbriggs444 said:
The question asks: "Don's solve this from scratch. Just check special cases". To me, that says that we should not be calculating discriminants.

We can look at the special case where ##l## is zero and we are shooting for the top of a wall directly adjacent to us. The required initial speed is obvious and three of the five possible answers are eliminated.

Next, we might look at the special case where the initial angle is 45 degrees and ##l## is [back of the envelope calculation is simple] x times h for an obvious x. A bit of algebra where things simplify nicely shows that another answer is eliminated while one remains correct.
I’d say only one limiting case is needed (and some “common sense”), the one where ##\ell = 0##. Among the two possibilities remaining after that, only one could possibly be correct (or just send ##\ell \to \infty## for an easy second limit.
 
  • Like
Likes   Reactions: jbriggs444
  • #25
laser said:
if there are two roots, then neither of them will be the "high point" of their trajectory.
Not so. Consider a low distant wall. To make that the high point will require a low angle and high speed. The same speed at a slightly higher angle will be too high at the wall, but at a sufficiently high angle it will again only just clear the wall.
Two roots, one of which is the high point.

PeroK said:
That's why, for this problem, you are looking for ##v_0## where there is one and only one solution for ##\alpha##.
"this" problem being minimisation of ##v_0##, not the post #1 problem, right?
I suspect that ambiguity led to the disagreement in posts #16 and #18.
 
  • #26
haruspex said:
I suspect that ambiguity led to the disagreement in posts #16 and #18.
It did and I regret it. Below I am addressing the second question, 3.6.

To @laser:
Regarding the optimization condition, I should like to extend @haruspex's reasoning in post #25 to a method for finding the optimization condition by considering the instantaneous angle of the velocity vector relative to the horizontal which I label ##\omega.## I call that the "final" angle.

From what has already been said, there are two projection angles ##\theta## and initial speeds ##v_0## such that the projectile reaches height ##h## at distance ##L##. It follows that there are two final angles and two difference angles ##\delta = \omega-\alpha## between the final and projection angles. So "looking for a ##v_0## where there is one and only one solution for ##\alpha##", as @PeroK suggested in post #15, is equivalent to looking for a unique value of the difference ##\delta.## That value is ##\delta = \frac{\pi}{2}.## This is useful to keep in mind when you deal with optimization questions. Note that when the angle between the two velocity vectors is ##90^{\circ}##, the dot product between them is $$0 = \mathbf{v}_0\cdot\mathbf{v} = v_{0x}^2+v_{0y}v_y\implies v_{0x}^2=-v_{0y}v_y.$$This says that
  1. when ##v_{0y} > 0##, as is usually the case, ##v_y## must be negative for the condition to hold, i.e. the projectile must be moving down.
  2. when ##v_{0y} < 0##, i.e. projection below the horizontal, no optimization is possible.
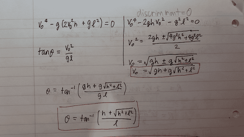
The orthogonality of the velocity vectors is implied by the optimization condition1 $$\sqrt{(\Delta x)^2+(\Delta y)^2 }+\Delta y=\frac{v_0^2}{g}$$ where ##\Delta x## is the horizontal displacement (always positive) and ##\Delta y## is the vertical displacement (positive or negative). With ##\Delta x=l## and ##\Delta y = +h##, the optimization condition yields $$ v_0=\sqrt{gh+g\sqrt{l^2+h^2}}$$ which verifies what you got.

You might consider applying the equations developed in the reference cited below and see how they work with the first problem labeled (b) that your professor gave you.

1Reference: https://www.physicsforums.com/insights/how-to-solve-projectile-motion-problems-in-one-or-two-lines/
 
  • Like
Likes   Reactions: laser
  • #27
kuruman said:
It did and I regret it. Below I am addressing the second question, 3.6.
I'm confused...are these results equivalent?

For 3.6 I get multiple choice answer (d):

$$ v = \sqrt{2gh+\frac{g \ell^2}{2h} } $$
 
  • #28
erobz said:
I'm confused...are these results equivalent?

For 3.6 I get multiple choice answer (d):

$$ v = \sqrt{2gh+\frac{g \ell^2}{2h} } $$
That works by taking the limit ##l \to 0##. Which rules out e).
 
  • #29
PeroK said:
That works by taking the limit ##l \to 0##. Which rules out e).
I solved it outright for the fun of it. It's got to be equivalent to the OP's first problem (b) too? @kuruman says they are addressing 3.6 in post #26 and get:

$$ v = \sqrt{ gh + g \sqrt{h^2 + l^2} } $$
 
  • #30
erobz said:
I solved it outright for the fun of it. It's got to be equivalent to the OP's first problem (b) too? @kuruman says they are addressing 3.6 in post #26 and get:

$$ v = \sqrt{ gh + g \sqrt{h^2 + l^2} } $$
Yes.
 

Similar threads

  • · Replies 18 ·
Replies
18
Views
2K
  • · Replies 8 ·
Replies
8
Views
3K
  • · Replies 21 ·
Replies
21
Views
2K
Replies
19
Views
3K
  • · Replies 13 ·
Replies
13
Views
1K
  • · Replies 1 ·
Replies
1
Views
2K
Replies
21
Views
4K
  • · Replies 8 ·
Replies
8
Views
6K
  • · Replies 9 ·
Replies
9
Views
1K
  • · Replies 3 ·
Replies
3
Views
3K