Proof for Close Packing of Congruent Identical Spheres

  • Context: Graduate 
  • Thread starter Thread starter fizixfan
  • Start date Start date
  • Tags Tags
    Proof Spheres
Click For Summary
SUMMARY

This discussion focuses on the mathematical proof of the density of close-packed congruent identical spheres in two configurations: tetrahedral and square pyramidal arrangements. Two algorithms are presented for calculating the densities, with the results converging to approximately 0.74048 or π/√18 as the number of spheres approaches infinity. The equality of the densities, Dt and Dp, is confirmed through a query to Wolfram Alpha and validated by Dr. Thomas C. Hales, who notes that both arrangements are part of face-centered cubic packing. The discussion concludes with a request for a detailed proof that the two density equations are equivalent as n approaches infinity.

PREREQUISITES
  • Understanding of mathematical limits and asymptotic analysis
  • Familiarity with the concepts of density in geometric arrangements
  • Knowledge of algorithms for calculating mathematical expressions
  • Basic proficiency in using Wolfram Alpha for mathematical queries
NEXT STEPS
  • Research the mathematical proof of the Kepler Conjecture and its implications on sphere packing
  • Explore advanced topics in asymptotic analysis and limits in calculus
  • Learn about face-centered cubic packing and its geometric properties
  • Investigate the derivation and application of density formulas in different geometric configurations
USEFUL FOR

Mathematicians, physicists, and students interested in geometric packing problems, as well as anyone studying algorithms related to density calculations in mathematical contexts.

fizixfan
Messages
105
Reaction score
35
I developed two algorithms for calculating the density of close packed congruent identical spheres in two different arrangements:
  • A tetrahedron with four equilateral triangular faces, and
  • A square pyramid with a square base and four equilateral triangular faces, as shown below.

tetrahedral ball stack w- n=3.jpg

Figure 1. Tetrahedral ball stack.
pyramidal ball stack.jpg

Figure 2. Square pyramidal ball stack.

Here are the Excel-friendly algorithms (n = number of spheres along bottom row):

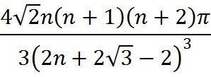
Density of Tetrahedral Stack (Dt):

Dt = (4*(2^0.5)*n*(n+1)*(n+2)*Pi())/(3*(2*n+2*3^0.5-2)^3 or

Dt equation.jpg
(1)

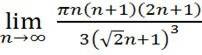
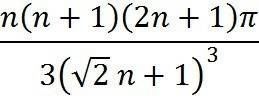
Density of Square Pyramidal Stack (Dp):

Dp = ( n*(1+n)*(1+2*n)*Pi())/(3*((1+(2^0.5*n)))^3) or

Dp equation.jpg
(2)

I found that, as the number of spheres approaches infinity for both arrangements, that Dt = Dp = ≈ 0.74048... or π/√18.

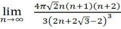
I resorted to Wolfram Alpha with the following query:

Dt limit.jpg
=
Dp limit.jpg
(3)

and got the following result:

Wolfram Proof RTC = SPC.jpg
(4)

True!

I then forwarded my calculations to Dr. Thomas C. Hales, who proved the Kepler Conjecture, asking him if Dt = Dp was correct, and he responded, saying,

"The reason for the equal densities in a tetrahedron and square pyramid is that they can both be viewed as part of the face-centered-cubic packing, each with a different set of exposed facets."

My question to you is this: can you provide a detailed proof that (1) = (2) as n→∞, i.e., that
Dt equals Dp.jpg
is true?


Thanks for any input!

Fizixfan.
 
Physics news on Phys.org
You get the equality of the limits by calculating the coefficients of the highest power ##3## of ##n##. It is sufficient to see that
$$\frac{2 \pi n^3}{3 \cdot \sqrt{2}^3 n^3} = \frac{4 \pi \sqrt{2} n^3}{3 \cdot 2^3 \cdot n^3}$$
because all other terms don't grow as fast (and division of the complete fractions by ##n^3## (nominator and denominator) gives ##\frac{1}{n}## terms which become zero at infinity).
 
  • Like
Likes   Reactions: fizixfan

Similar threads

  • · Replies 8 ·
Replies
8
Views
11K
  • · Replies 1 ·
Replies
1
Views
3K
Replies
8
Views
3K
  • · Replies 4 ·
Replies
4
Views
3K
  • · Replies 3 ·
Replies
3
Views
8K
  • · Replies 5 ·
Replies
5
Views
4K
  • · Replies 8 ·
Replies
8
Views
3K
  • · Replies 4 ·
Replies
4
Views
2K
  • · Replies 27 ·
Replies
27
Views
5K
  • · Replies 3 ·
Replies
3
Views
2K