Proving differentiability for a function from the definition

Click For Summary
SUMMARY

The discussion centers on proving the differentiability of a function using its definition, specifically addressing the assumption that the derivative exists at a point. The key equation referenced is the limit definition of the derivative, ##f'(a) = \lim_{x \to a} \frac{f(x) - f(a)}{x - a}##. The assumption of differentiability is justified by the initial condition stating that the function ##f## is differentiable. This foundational understanding is crucial for correctly applying the limit definition in calculus.

PREREQUISITES
  • Understanding of the limit definition of a derivative
  • Familiarity with differentiable functions
  • Basic knowledge of calculus concepts
  • Ability to manipulate mathematical expressions
NEXT STEPS
  • Study the formal definition of differentiability in calculus
  • Explore examples of differentiable and non-differentiable functions
  • Learn about the implications of differentiability on continuity
  • Investigate the application of the Mean Value Theorem
USEFUL FOR

Students studying calculus, mathematics educators, and anyone seeking to deepen their understanding of differentiability and its implications in mathematical analysis.

member 731016
Homework Statement
Please see below
Relevant Equations
Please see below
For this problem,
1715475811269.png

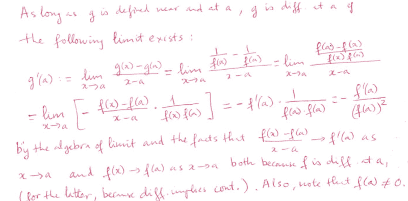
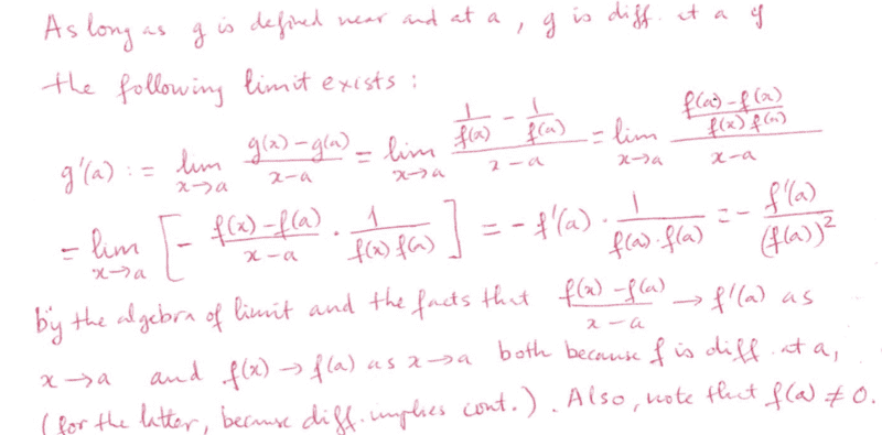
The solution is,
1715475847832.png

However, does someone please know why we allowed to assume that the derivative exists for f i.e ##f'(a) = \lim_{x \to a} \frac{f(x) - f(a)}{x - a}##?

Thanks!
 
Physics news on Phys.org
ChiralSuperfields said:
Homework Statement: Please see below
Relevant Equations: Please see below

For this problem,
View attachment 345049
The solution is,
View attachment 345050
However, does someone please know why we allowed to assume that the derivative exists for f i.e ##f'(a) = \lim_{x \to a} \frac{f(x) - f(a)}{x - a}##?

Thanks!
Because of the first sentence: Let ##f## be a differentiable function.
 
  • Like
  • Love
Likes   Reactions: SammyS, nuuskur and member 731016

Similar threads

  • · Replies 8 ·
Replies
8
Views
1K
  • · Replies 5 ·
Replies
5
Views
2K
  • · Replies 1 ·
Replies
1
Views
1K
  • · Replies 20 ·
Replies
20
Views
3K
  • · Replies 12 ·
Replies
12
Views
1K
  • · Replies 7 ·
Replies
7
Views
1K
Replies
4
Views
3K
  • · Replies 7 ·
Replies
7
Views
2K
  • · Replies 4 ·
Replies
4
Views
2K
Replies
8
Views
2K