Quantum theory, show variation of S zero, integrate by parts

Click For Summary

Homework Help Overview

The discussion revolves around demonstrating a specific equality in quantum theory, particularly focusing on expressing a term as a total derivative. The original poster is attempting to show the variation of the action, denoted as ##\delta S##, and is working through integration by parts involving derivatives of a field, ##\phi##.

Discussion Character

  • Exploratory, Mathematical reasoning, Assumption checking

Approaches and Questions Raised

  • Participants are discussing the application of integration by parts, particularly in the context of multiple derivatives. The original poster has made an initial attempt but expresses uncertainty about the correctness of their approach. Questions arise regarding the treatment of constants and the order of derivatives, as well as the implications of using the product rule.

Discussion Status

The discussion is ongoing, with participants providing insights and questioning each other's reasoning. Some guidance has been offered regarding the application of integration by parts and the product rule, but there is no explicit consensus on the best approach yet.

Contextual Notes

There are indications of confusion regarding the notation and the treatment of derivatives, particularly with respect to maintaining consistency in indices used during integration by parts. The original poster is also navigating the implications of assumptions about the behavior of the field at infinity.

binbagsss
Messages
1,291
Reaction score
12

Homework Statement



Hi,

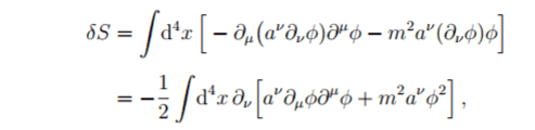
Please see attached.

I am trying to show the second equality , expressing all as a total derivative (I can then show that ##\delta S = ##)

Homework Equations



See above

The Attempt at a Solution



So the ## m ## term is pretty obvious, simply using the chain rule.

It is the first term I am stuck on. So looking by the sign, it looks like we have done integration by parts twice.

My working so far is to go by parts initially as:

##w=\partial^{u}\phi ##
##\partial w = \partial_{v}\partial^{u} \phi ##
## \partial z = \partial_{u}\partial_{v} \phi ##
## z= \partial_{u} \phi ##

to get, since we are allowed to assume vanishing of the field ##\phi ## at inifnity:

## - \int \partial_{u} \phi ( \partial_{v} \partial^{u} \phi ) ##

I am now stuck of what to do, I can't see a move that will get the desired expression for a choice of integration by parts, which makes me question whether this was the correct first move to make.

Many thanks in advance.
 

Attachments

  • qft variaton of s.png
    qft variaton of s.png
    6.7 KB · Views: 478
Physics news on Phys.org
Is ##a## constant? It is just the same type of relation as the mass term. Just switch the order of the derivatives.
 
Orodruin said:
Is ##a## constant? It is just the same type of relation as the mass term. Just switch the order of the derivatives.

The ##\partial_{u} ## is not hitting the ## \partial^{u} \phi ## though?

I have the first line as ## a^{v}\partial_{u}\partial_{v}\phi \partial^{u} \phi = a^{v}(\partial^2 _{uv} \phi)(\partial^{u} \phi )##,
whereas I have the bottom line as ## (a^{v}\partial^{2}_{uv}\phi)(\partial_{v}\partial^{u} \phi) ##..

thanks
 
binbagsss said:
The ##\partial_{u} ## is not hitting the ## \partial^{u} \phi ## though?

I have the first line as ## a^{v}\partial_{u}\partial_{v}\phi \partial^{u} \phi = a^{v}(\partial^2 _{uv} \phi)(\partial^{u} \phi )##,
whereas I have the bottom line as ## (a^{v}\partial^{2}_{uv}\phi)(\partial_{v}\partial^{u} \phi) ##..

thanks
No this is not the bottom line - it does not contain four derivatives ... Just use the same argument as for the mass term, or more generally ##f\, df/dx = 0.5 df^2/dx##.
 
Orodruin said:
No this is not the bottom line - it does not contain four derivatives ... Just use the same argument as for the mass term, or more generally ##f\, df/dx = 0.5 df^2/dx##.

erm, so I should have used the product rule on the bottom line?
Which would give arise to two terms, whereas the top line has one term..?
 
binbagsss said:
erm, so I should have used the product rule on the bottom line?
Which would give arise to two terms, whereas the top line has one term..?
I don't get your meaning. Both the bottom and top lines have two terms. One from the mass and one from the kinetic term.
 
Orodruin said:
I don't get your meaning. Both the bottom and top lines have two terms. One from the mass and one from the kinetic term.
apologies, corresponding to the kinetic term, I am only referring to here.
 
Is your problem that you do not see that
$$
(\partial_a \partial_b \phi) (\partial^a \phi) = \frac{1}{2} \partial_b [(\partial_a \phi)(\partial^a\phi)] ?
$$
 
binbagsss said:
apologies, corresponding to the kinetic term, I am only referring to here.
The kinetic term has one term only in both lines in your OP.
 
  • #10
Orodruin said:
The kinetic term has one term only in both lines in your OP.

oh right got it !
by two terms I was referring to the product rule, but then you sea-saw giving the factor of ##1/2##, thank you !
 
  • #11
[QUOTE="binbagsss, post: 5663557, member: 252335"

My working so far is to go by parts initially as:

##w=\partial^{u}\phi ##
##\partial w = \partial_{v}\partial^{u} \phi ##
## \partial z = \partial_{u}\partial_{v} \phi ##
## z= \partial_{u} \phi ##

[/QUOTE]

May I ask, in general how should you approach integration by parts when four -derivaitves are involved.
Should I choose a different index like ##\partial_a## than u and v which are already used in the problem
Am I okay to use ##\partial_v ##, but then I must be consistent throughout? i.e. not change to ##\partial_u##
I'm a bit confused..
Many thanks !
 
  • #12
There is nothing different from the usual integration by parts, you just do it in the direction of the given index. In other words, ##\partial_\mu## is really a lot of different terms. You can do partial integration with respect to each direction separately. In reality, it really is just the divergence theorem.
 

Similar threads

  • · Replies 15 ·
Replies
15
Views
2K
Replies
2
Views
3K
  • · Replies 2 ·
Replies
2
Views
1K
Replies
10
Views
2K
Replies
5
Views
3K
  • · Replies 1 ·
Replies
1
Views
2K
  • · Replies 9 ·
Replies
9
Views
2K
  • · Replies 5 ·
Replies
5
Views
5K
Replies
6
Views
2K
  • · Replies 2 ·
Replies
2
Views
2K