Question about free source RLC circuit

Click For Summary

Discussion Overview

The discussion revolves around solving a problem related to a free source RLC circuit, specifically focusing on transient conditions and the calculation of voltages at different time points. Participants are attempting to solve parts (b) and (c) of the problem after having solved part (a).

Discussion Character

  • Homework-related
  • Mathematical reasoning
  • Debate/contested

Main Points Raised

  • One participant has solved part (a) and is seeking help for parts (b) and (c).
  • Another participant suggests analyzing the circuit and inquires about the methods covered for solving second-order circuits.
  • A participant mentions using overdamped response equations but questions the discrepancy between their answers and the expected results.
  • Some participants propose that the circuit may be underdamped, citing the requirement for oscillations indicated in part (c).
  • There are suggestions to use Laplace Transforms and nodal analysis to incorporate initial conditions effectively.
  • Several participants express frustration over calculation errors and seek clarification on their methods and results.
  • Concerns are raised about the clarity of handwritten solutions, with requests for typed or clearer representations of equations.
  • Participants discuss potential calculator errors affecting their results, particularly regarding trigonometric calculations.

Areas of Agreement / Disagreement

Participants express differing views on whether the circuit is overdamped or underdamped, with no consensus reached. There is also uncertainty regarding the correct approach to solving the problem and the accuracy of calculations presented.

Contextual Notes

Some participants mention difficulties in following calculations due to handwriting clarity and potential calculator settings affecting results. There is an emphasis on the need to show work for effective assistance.

e0ne199
Messages
56
Reaction score
5

Homework Statement


below is my question :
Scrapbook_1492781963940.png


Homework Equations


all of the equatios used to solve this problems are equations for free source RLC circuit.

The Attempt at a Solution


so far i have solved problem (a), whose answer is -1400V/s, the problem is when i want to solve (b) and (c)
INKredible_20170430_170617.png

do you know how to solve the remaining questions?? any help is really appreciated, thanks before
 
Physics news on Phys.org
e0ne199 said:
do you know how to solve the remaining questions?? any help is really appreciated, thanks before
Looks like you'll need to analyze the circuit. What methods have you covered for solving second order circuits?
 
I calculated it to get answers (b) and (c) using overdamped response equations but i don't know why the answers i get is not the same as the answers displayed above...did you know how to solve it?
Btw the question i posted is about free source RLC circuit when it enters transient conditions
 
gneill said:
Looks like you'll need to analyze the circuit. What methods have you covered for solving second order circuits?
Can you help me?
 
e0ne199 said:
I calculated it to get answers (b) and (c) using overdamped response equations but i don't know why the answers i get is not the same as the answers displayed above...did you know how to solve it?
Btw the question i posted is about free source RLC circuit when it enters transient conditions
My intuition tells me that the circuit will be underdamped, not overdamped. A hint that this might be the case is that in part (c) they ask for the first value of t where the capacitor voltage is zero. That implies that there's at least one more, so there are oscillations.

You'll have to show how you used the standard response equations to solve the problem. It's not obvious to me how you would incorporate and account for the initial conditions (both capacitor voltage and inductor current).

Looking at the circuit, my own approach would likely be to use Laplace Transforms and nodal analysis. The Laplace transform method allows you to easily incorporate the initial conditions. If you haven't covered Laplace yet, you'll have to slog through writing and solving the differential equation.
 
gneill said:
My intuition tells me that the circuit will be underdamped, not overdamped. A hint that this might be the case is that in part (c) they ask for the first value of t where the capacitor voltage is zero. That implies that there's at least one more, so there are oscillations.

You'll have to show how you used the standard response equations to solve the problem. It's not obvious to me how you would incorporate and account for the initial conditions (both capacitor voltage and inductor current).

Looking at the circuit, my own approach would likely be to use Laplace Transforms and nodal analysis. The Laplace transform method allows you to easily incorporate the initial conditions. If you haven't covered Laplace yet, you'll have to slog through writing and solving the differential equation.

ah sorry i was wrong...you are right, the circuit is underdamped,sorry i didn't realize i typed a wrong circuit response...btw i have done calculations involving simple differential equations based on the book but i am unable to get solutions that fit the answers for (b) and (c)...i have done the calculations several times and check if there is anything wrong within my calculations but i am still unable to find where my mistake is...could you please help me find the way to get answer (b) and (c)?
 
i am really out of clue this time and i am so desperate to find the answer for this question...
 
You'll have to show your work so that helpers can evaluate your approach and what you've tried. Helpers cannot do the work for you, they can only offer help with work that you show.
 
IMG_20170523_220900.png


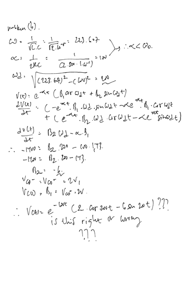
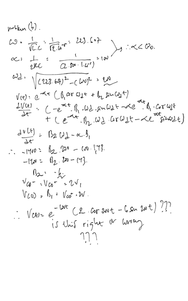
sorry for the late post...here is my result for part (b)...the answer is not the same as the book so do tou know what actually is the problem for my answer? thanks before
 
  • #10
hello? anyone?
 
  • #11
gneill said:
You'll have to show your work so that helpers can evaluate your approach and what you've tried. Helpers cannot do the work for you, they can only offer help with work that you show.
i have just posted my solution above, could you please check where the wrong is on my answer?
 
  • #12
It's very hard to follow your handwriting (at least for me).

From what I can tell your result looks almost okay: The exponential damping term should use the damping coefficient α = 100, not an ω. Otherwise it looks good.
 
  • #13
gneill said:
It's very hard to follow your handwriting (at least for me).

From what I can tell your result looks almost okay: The exponential damping term should use the damping coefficient α = 100, not an ω. Otherwise it looks good.
but the answer is not the same as the question i posted for the first time...do you know the real solution for this? i think my answer is still wrong...hope you (or anyone here) can help solve this with correct solution...
 
  • #14
e0ne199 said:
View attachment 204109

sorry for the late post...here is my result for part (b)...the answer is not the same as the book so do tou know what actually is the problem for my answer? thanks before
about this...i tried to input t=1 ms and i can't get the same answer (ans: 0.695) as the question i posted before...still need a helping hand to solve this problem..
 
  • #15
Can you show details for your calculation of the voltage at time t = 1 ms? I arrive at the correct answer when I use your expression for v(t).
 
  • #16
gneill said:
Can you show details for your calculation of the voltage at time t = 1 ms? I arrive at the correct answer when I use your expression for v(t).
i am sorry again for the late post...
here it is :
IMG_20170604_111809.png


can you show me your answer?
 
  • #17
gneill said:
Can you show details for your calculation of the voltage at time t = 1 ms? I arrive at the correct answer when I use your expression for v(t).
hello? are you still there? [emoji4][emoji4]
 
  • #18
Your handwriting is really very difficult to read. Please type out your equations or write them larger and more carefully.

From what I can tell, you must have to have made a calculator error.
 
  • #19
perhaps this is clearer?
could you point out which one is wrong?
ep21mgWds.png
 
Last edited:
  • #20
gneill said:
Your handwriting is really very difficult to read. Please type out your equations or write them larger and more carefully.

From what I can tell, you must have to have made a calculator error.
i have just posted my revision, could you please check it out? :)
i really want to know what mistake i have done here because i have struggled so hard to get the right answer for this :(
 
  • #21
Just your result is incorrect. That means you have a calculator error. Check to see if your calculator is set to degrees or radians mode for the trig functions.
 
  • #22
gneill said:
Just your result is incorrect. That means you have a calculator error. Check to see if your calculator is set to degrees or radians mode for the trig functions.
sorry for the late response again...i have checked my calculator and everything including the configuration is alright...how did you get the correct result? could you show it to me?
or could you show me the correct expression of V (t) before you put t=1ms into the expression?
 
  • #23
e0ne199 said:
sorry for the late response again...i have checked my calculator and everything including the configuration is alright...how did you get the correct result? could you show it to me?
or could you show me the correct expression of V (t) before you put t=1ms into the expression?
Your expression looks fine. From what I can make out you have written:

##v(t) = e^{-100 t}\left(2 cos(200 t) - 6 sin(200 t) \right)##

which is correct. What you wrote for t = 1 ms also looks good. So that means you have a calculator issue.

What value do you calculate for ##2 cos(0.2)## ?
 
  • #24
gneill said:
Your expression looks fine. From what I can make out you have written:

##v(t) = e^{-100 t}\left(2 cos(200 t) - 6 sin(200 t) \right)##

which is correct. What you wrote for t = 1 ms also looks good. So that means you have a calculator issue.

What value do you calculate for ##2 cos(0.2)## ?
the result of 2*cos (0.2) is 1.99 using my calculator (TI89 emulator)...is that wrong?
 
  • #25
e0ne199 said:
the result of 2*cos (0.2) is 1.99 using my calculator (TI89 emulator)...is that wrong?
Yes. Looks like it's assuming an argument of degrees. Switch to radians.
 
  • #26
gneill said:
Yes. Looks like it's assuming an argument of degrees. Switch to radians.
wow you are right...thank you so much...i really have been stuck on this for more than 2 months just to look for this solution [emoji23][emoji23]
 

Similar threads

  • · Replies 13 ·
Replies
13
Views
8K
  • · Replies 9 ·
Replies
9
Views
12K
  • · Replies 32 ·
2
Replies
32
Views
4K
  • · Replies 1 ·
Replies
1
Views
2K
  • · Replies 6 ·
Replies
6
Views
4K
  • · Replies 1 ·
Replies
1
Views
2K
  • · Replies 9 ·
Replies
9
Views
3K
  • · Replies 34 ·
2
Replies
34
Views
7K
  • · Replies 24 ·
Replies
24
Views
3K
Replies
19
Views
3K