Question about Proof of Inverse Function

Click For Summary
SUMMARY

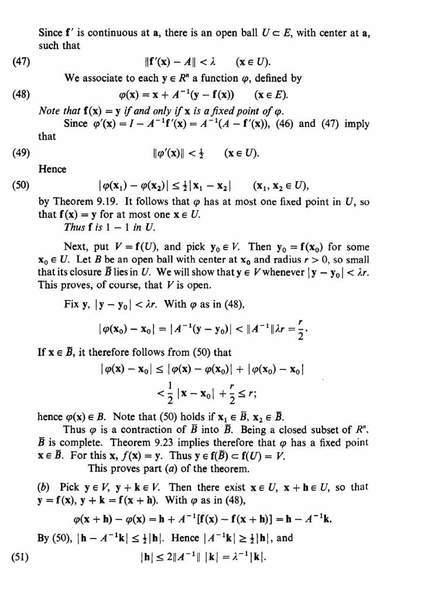
The discussion centers on the proof of the Inverse Function Theorem as presented in "baby Rudin." The key concept is the function φ(x) defined as φ(x) = x + A⁻¹(y - f(x)), which is derived from the linear approximation f(x) = f(x₀) + f'(x)(x - x₀). The proof demonstrates that if |φ'(x)| < ½, then φ is a contraction mapping, ensuring that φ is one-to-one for every y. This establishes the necessary condition for the function f(x) to be one-to-one.

PREREQUISITES
  • Understanding of the Inverse Function Theorem
  • Familiarity with contraction mappings and fixed point theorems
  • Knowledge of derivatives and their implications in function behavior
  • Basic proficiency in mathematical analysis, particularly as presented in "baby Rudin"
NEXT STEPS
  • Study the details of the Inverse Function Theorem in "baby Rudin"
  • Explore the concept of contraction mappings and the Banach Fixed-Point Theorem
  • Review the implications of derivatives in determining function behavior
  • Practice problems involving the application of fixed point theorems in analysis
USEFUL FOR

Students of mathematical analysis, particularly those studying real analysis and the properties of functions, as well as educators looking to clarify the Inverse Function Theorem and its applications.

transphenomen
Messages
52
Reaction score
0
I am reading the proof of the Inverse Function Theorem in baby Rudin and I have a question about it. How does associating a function phi(x) (equation 48) with each point y tell us anything about if f(x) is one-to-one? I'll show the proof below. Also, if f'(a) = A, and f(x)=x2, what would A-1 be?
 

Attachments

  • Inverse 1.jpg
    Inverse 1.jpg
    43.1 KB · Views: 699
  • Inverse 2.jpg
    Inverse 2.jpg
    37.3 KB · Views: 621
  • Inverse 3.jpg
    Inverse 3.jpg
    59.3 KB · Views: 587
Physics news on Phys.org
The exact same equation had me freaking out for a while.

You can think of φ(x) = x + A⁻¹(y - f(x)) as coming from f(x) = f(x₀) + f'(x)(x - x₀),
& it's a way of introducing the concept of a fixed point so we can use the contraction
principle. You basically want to show that |φ'(x)| < ½ & then use theorem 9.19
|φ(b) - φ(a)| ≤ M(b - a) & with M = ½ you have a contraction mapping, thus by the
contraction principle you have that for every y it's associated function φ must be 1-1.
 

Similar threads

  • · Replies 11 ·
Replies
11
Views
3K
  • · Replies 6 ·
Replies
6
Views
4K
  • · Replies 1 ·
Replies
1
Views
3K
  • · Replies 4 ·
Replies
4
Views
2K
  • · Replies 3 ·
Replies
3
Views
4K
  • · Replies 2 ·
Replies
2
Views
3K
  • · Replies 5 ·
Replies
5
Views
3K
  • · Replies 1 ·
Replies
1
Views
2K
  • · Replies 9 ·
Replies
9
Views
3K
  • · Replies 4 ·
Replies
4
Views
3K