Need help with finding the inverse of a function

  • Context: MHB 
  • Thread starter Thread starter Umar
  • Start date Start date
  • Tags Tags
    Function Inverse
Click For Summary

Discussion Overview

The discussion revolves around finding the inverse of a function and evaluating it at a specific value. Participants explore the steps involved in determining the inverse and clarify the process for evaluating the function at a given input, addressing both theoretical and practical aspects of inverse functions.

Discussion Character

  • Homework-related
  • Mathematical reasoning

Main Points Raised

  • One participant expresses difficulty in finding the inverse of a function and questions the method for evaluating it at a specific number.
  • Another participant suggests solving the equation $f(x)=9$ but notes the complexity due to the presence of $x$ and $\ln(x-3)$ in the expression, indicating that a numerical or inspection approach may be necessary.
  • A participant identifies $x=4$ as a potential solution that simplifies the logarithmic term, leading to a valid equation.
  • There is a discussion about the identity property of inverse functions, where one participant explains that applying the inverse function to its original function should yield the input value, referencing the notation $f^{-1} \circ f = \operatorname{id}$.
  • Another participant seeks clarification on the identity property and its implications for evaluating the function at a specific input.

Areas of Agreement / Disagreement

Participants generally agree on the approach to solving for the inverse and the identity property of inverse functions, but there is no consensus on the specific methods or solutions for the problem at hand.

Contextual Notes

The discussion includes unresolved mathematical steps and assumptions regarding the function's behavior, particularly in relation to the logarithmic component and its implications for finding the inverse.

Umar
Messages
36
Reaction score
0
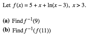
Hello, I'm having trouble going about dealing with this question. It asked to find the inverse of the function and evaluate it at a certain number:

View attachment 5963

Also for part b, do we just plug in x=11 and then take the inverse of that output value or what?

I tried using some inverse properties:

f^-1(x) = 9, then, f(x) = 9.

So I set the function equal to 9 and tried to solve for x, but it didn't really work out to well.

Your help is greatly appreciated.
 

Attachments

  • Screen Shot 2016-09-09 at 6.07.27 PM.png
    Screen Shot 2016-09-09 at 6.07.27 PM.png
    2.9 KB · Views: 129
Physics news on Phys.org
Umar said:
Hello, I'm having trouble going about dealing with this question. It asked to find the inverse of the function and evaluate it at a certain number:
Also for part b, do we just plug in x=11 and then take the inverse of that output value or what?

I tried using some inverse properties:

f^-1(x) = 9, then, f(x) = 9.

So I set the function equal to 9 and tried to solve for x, but it didn't really work out to well.

Your help is greatly appreciated.

Hi Umar! Welcome to MHB! ;)

Let's start with part a.
Indeed, we should solve $f(x)=9$.
And I'm afraid there's no easy solution for that, since we have $x$ and $\ln(x-3)$ next to each other in the same expression.
We can only solve it numerically, or by inspection.
The only $\ln$ we can really figure out, is $\ln 1 =0$, or more generally, $\ln e^n=n$.
Anyway, that makes the only $x$ that makes "sense" to "inspect", $x=4$, so that we have $\ln(x-3)=\ln(4-3)=\ln(1)=0$.
Does that bring us anything?

As for part b, don't we have that $f^{-1}\circ f=\operatorname{id}$? (Wondering)
 
Hello there,

I understand what you meant for part a, as making x = 4 gets rid of the ln, and then you're left with 9 = 5 + 4, so LS = RS..

But for part b, can you explain what you mean by f^-1 ∘ f =id ?
 
Umar said:
Hello there,

I understand what you meant for part a, as making x = 4 gets rid of the ln, and then you're left with 9 = 5 + 4, so LS = RS..

But for part b, can you explain what you mean by f^-1 ∘ f =id ?

Good! (Nod)

Suppose we set $y=f(x)$.
Then with $x=11$, we have $y=f(11)$.
Finding $f^{-1}(f(11))$ means finding $f^{-1}(y)$.
That is, finding $x$ such that $f(x)=y$.
But we already know for which $x$ that is the case - we already know that $f(11)=y$!
So $f^{-1}(f(11)) = 11$.

More generally, the inverse of a function (if it exists) applied to the same function is by definition the identity function (abbreviated $\operatorname{id}$).
 
Thank you so much
 

Similar threads

  • · Replies 11 ·
Replies
11
Views
3K
  • · Replies 6 ·
Replies
6
Views
4K
  • · Replies 2 ·
Replies
2
Views
2K
  • · Replies 4 ·
Replies
4
Views
4K
  • · Replies 3 ·
Replies
3
Views
4K
  • · Replies 1 ·
Replies
1
Views
2K
  • · Replies 1 ·
Replies
1
Views
2K
  • · Replies 3 ·
Replies
3
Views
1K
  • · Replies 3 ·
Replies
3
Views
3K
  • · Replies 9 ·
Replies
9
Views
3K