Question about where a thermodynamics formula comes from

Click For Summary
SUMMARY

The formula w = q - Δh is derived from the first law of thermodynamics, specifically in the context of open systems. The discussion clarifies that Δh represents specific enthalpy changes, while Δu refers to specific internal energy changes. The distinction is crucial as the formula accounts for work done in both shaft work and mass flow across control volumes. The derivation involves integrating the infinitesimal changes in energy and requires a solid understanding of thermodynamic principles.

PREREQUISITES
  • Understanding of the first law of thermodynamics
  • Familiarity with specific internal energy (Δu) and specific enthalpy (Δh)
  • Knowledge of open system thermodynamics
  • Ability to perform integration in calculus
NEXT STEPS
  • Study the derivation of the first law of thermodynamics in open systems
  • Learn about the differences between specific internal energy and specific enthalpy
  • Explore the concept of shaft work and its implications in thermodynamic systems
  • Practice integration techniques relevant to thermodynamic equations
USEFUL FOR

Students of thermodynamics, engineers working with fluid systems, and anyone seeking to deepen their understanding of energy transformations in open systems.

influx
Messages
162
Reaction score
1

Homework Statement



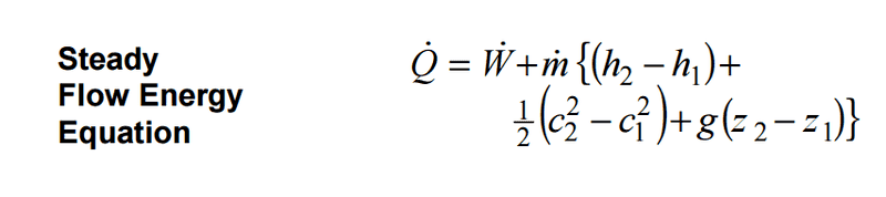
How do we obtain:
w = q - Δh

Homework Equations



627d22.png


The Attempt at a Solution


If you neglect the second half of the SFEE and simplify we get:

a40101.png


What is the next step from the last line in the above image to

w = q - Δh

I mean dw/dt = dq/dt - Δh

so if we multiply by dt we get:

dw = dq - Δh(dt)
w = q -
Then I assume this should be integrated? If yes, how? Can't seem to get my head round it.Also, what is the difference between w = q - Δh and w = q - Δu? I know u is specific internal energy and h is specific enthalpy but the above seems to suggest they're the same?

 
Last edited:
Physics news on Phys.org
influx said:
How do we obtain:
w = q - Δh
in thermodynamics, the thermodynamic relation is generally expressed as an infinitesimal change in internal energy in terms of infinitesimal changes in entropy, and volume for a closed system in thermal equilibrium in the following ...
however the laws of thermodynamics predefines the way one can relate the 'desired macroscopic parameters/observables of the system'
 
In the open system version of the 1st law that you have written (based on a fixed control volume), ##\dot{W}## is not the total rate of doing work, it is only the rate of doing "shaft work." There is also work involved in pushing mass out of the control volume in an output stream, and pushing work into the control volume in an input stream. That explains why there is a ##\Delta h## and not a ##\Delta u##. This should all have been explained in the derivation in your book.

Chet
 

Similar threads

  • · Replies 10 ·
Replies
10
Views
2K
  • · Replies 1 ·
Replies
1
Views
2K
  • · Replies 1 ·
Replies
1
Views
11K
  • · Replies 6 ·
Replies
6
Views
2K
  • · Replies 3 ·
Replies
3
Views
2K
  • · Replies 1 ·
Replies
1
Views
1K
  • · Replies 2 ·
Replies
2
Views
5K
Replies
2
Views
2K
  • · Replies 1 ·
Replies
1
Views
3K
  • · Replies 1 ·
Replies
1
Views
2K