Questions Regarding the Inertia Tensor

Click For Summary

Discussion Overview

The discussion revolves around the inertia tensor as presented in a specific section of the Classical Dynamics of Particles and Systems textbook. Participants raise questions about the interpretation of statements regarding the inertia tensor, the use of the Kronecker delta function in equations, and the physical meanings of the diagonal and off-diagonal terms in the tensor.

Discussion Character

  • Technical explanation
  • Conceptual clarification
  • Debate/contested

Main Points Raised

  • One participant questions the meaning of the statement regarding V and ω being characteristic of the αth particle, suggesting that it implies all particles share the same V and ω, allowing them to be factored out of the summation.
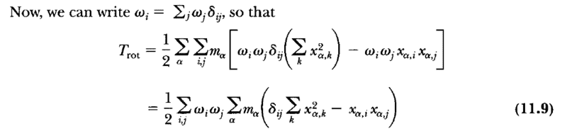
  • Another participant asserts that the second term in Equation (11.9) should not include the Kronecker delta function, explaining that it arises from a double sum over the components of ω and x.
  • A participant discusses the physical interpretations of the diagonal and off-diagonal terms of the inertia tensor, noting that the diagonal terms represent moments of inertia aligned with coordinate axes, while off-diagonal terms are products of inertia.
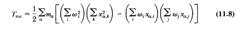
  • There is a query about the derivation of Equation (11.8) from Equation (11.7), specifically regarding why the second term involves a double sum while the first does not.
  • Another participant responds that the second term results from squaring a dot product, which leads to a product of sums, and suggests that writing it out would clarify the reasoning.

Areas of Agreement / Disagreement

Participants express differing views on the application of the Kronecker delta function and the derivation of terms in the equations, indicating that multiple competing interpretations exist without a consensus on these points.

Contextual Notes

Participants reference specific equations and terms from the textbook, which may require further clarification or context for those unfamiliar with the material. The discussion also highlights the complexity of the mathematical relationships involved.

sams
Gold Member
Messages
84
Reaction score
2
In Chapter 11: Dynamics of Rigid Bodies, in the Classical Dynamics of Particles and Systems book by Thornton and Marion, Fifth Edition, pages 415-418, Section 11.3 - Inertia Tensor, I have three questions regarding the Inertia Tensor:

1.The authors made the following statement: "neither V nor ω is characteristic of the αth particle."

1.PNG

What do the authors mean by the above statement and how did they take V.ω outside the relation?

2. Kronecker delta function
2.PNG

3.PNG


Shouldn't the second term in the square brackets or in the parenthesis of Equation (11.9) also contain the Kronecker delta function?

3. Physical Interpretation of the diagonals and off-diagonals of the Inertia Tensor
4.PNG


According to the authors, the diagonal terms are called the moments of inertia and the off-diagonal terms are called the products of inertia. What are the physical interpretations of the diagonal and the off-diagonal terms? What is the difference between them?

Thank you so much for your help.
 

Attachments

  • 1.PNG
    1.PNG
    13.6 KB · Views: 545
  • 2.PNG
    2.PNG
    6.2 KB · Views: 501
  • 3.PNG
    3.PNG
    8 KB · Views: 584
  • 4.PNG
    4.PNG
    7.6 KB · Views: 416
  • 4.PNG
    4.PNG
    7.6 KB · Views: 514
Last edited:
Physics news on Phys.org
sams said:
What do the authors mean by the above statement and how did they take V.ω outside the relation?
They mean that all particles have the same V and the same ω, so they can be taken out of the summation, due to the distributive property of the cross product.

sams said:
Shouldn't the second term in the square brackets or in the parenthesis of Equation (11.9) also contain the Kronecker delta function?
No, since the second term comes from a double sum over the components of ω and x. The Kronecker delta is introduced to transform the single sum into a double sum, so that both terms can be written together as a double sum.

sams said:
According to the authors, the diagonal terms are called the moments of inertia and the off-diagonal terms are called the products of inertia. What are the physical interpretations of the diagonal and the off-diagonal terms? What is the difference between them?
There is an orthogonal system of coordinates in which the tensor of inertia is diagonal. In that case, the moments of inertia obtained are aligned with the coordinate axes and they are called the principal moments of inertia. They represent the "natural" way in which the body can rotate. Any rotation can be written as a superposition of rotations around the principal moments of inertia.
 
  • Like
Likes   Reactions: sams
DrClaude said:
No, since the second term comes from a double sum over the components of ω and x. The Kronecker delta is introduced to transform the single sum into a double sum, so that both terms can be written together as a double sum.
5.PNG

Equation (11.8) is obtained from Equation (11.7). How did the second term come with a double sum and not the first term as well?
 

Attachments

  • 5.PNG
    5.PNG
    1.4 KB · Views: 457
sams said:
How did the second term come with a double sum and not the first term as well?
Because you are squaring a dot product. The dot product will give you a sum of three terms, and when you square it you get a product of two sums.

I suggest you write it out. It takes only a couple of lines, and it is just simple vector algebra. All will then become clear.
 

Similar threads

  • · Replies 5 ·
Replies
5
Views
2K
  • · Replies 8 ·
Replies
8
Views
3K
  • · Replies 4 ·
Replies
4
Views
2K
  • · Replies 1 ·
Replies
1
Views
3K
  • · Replies 3 ·
Replies
3
Views
4K
  • · Replies 6 ·
Replies
6
Views
2K
  • · Replies 6 ·
Replies
6
Views
4K
  • · Replies 12 ·
Replies
12
Views
3K
  • · Replies 5 ·
Replies
5
Views
6K
  • · Replies 7 ·
Replies
7
Views
4K