Quick Change of Variables Question

Click For Summary

Discussion Overview

The discussion revolves around a change of variables in the context of solving a system of differential equations. Participants are examining the implications of associating solutions from one system with those from another, particularly focusing on the transformations involved and the resulting contradictions that arise from these associations.

Discussion Character

  • Exploratory
  • Technical explanation
  • Debate/contested
  • Mathematical reasoning

Main Points Raised

  • One participant suggests that the association ##f_{2}(-x) \leftrightarrow f_{1}(x)## and ##g_{2}(-x) \leftrightarrow g_{1}(x)## should suffice for solving the system, but encounters a contradiction after making a change of variables.
  • Another participant points out that the functions depend on a parameter, which may complicate the associations made.
  • There is a discussion about the correct interpretation of the associations, with some participants questioning the meaning of these associations and whether they imply equality or a different relationship.
  • One participant emphasizes the importance of correctly applying the chain rule when making changes of variables, suggesting that the derivatives must be treated appropriately.
  • Several participants express confusion over the use of dummy variables and how they affect the relationships between the functions.

Areas of Agreement / Disagreement

Participants express differing views on the validity of the associations made between the functions and the implications of the change of variables. There is no consensus on the correct interpretation of these associations or the resulting contradictions, indicating ongoing debate and uncertainty.

Contextual Notes

Participants note potential issues with suppressing parameter dependence and the need for careful handling of derivatives during variable changes. The discussion highlights the complexity of the relationships between the functions involved and the assumptions that may not be explicitly stated.

thatboi
Messages
130
Reaction score
20
Hey all,
I am currently struggling with a change of variables step in my calculations.
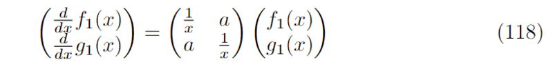
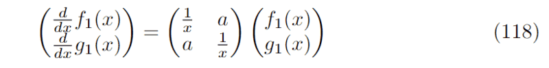
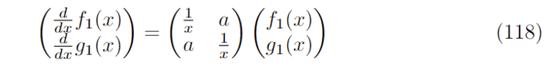
Suppose the solutions ##f_{1}(x)## and ##f_{2}(x)## of the following system of differential equations is known:
1662437396549.png

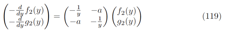
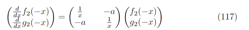
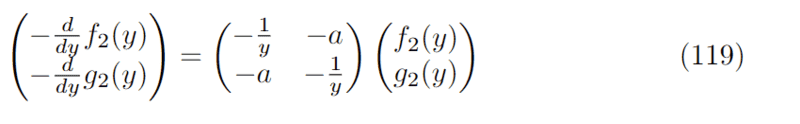
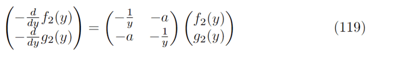
Now the system I wish to solve is:
1662437422305.png

Upon first glance, it seems that the association ##f_{2}(-x) \leftrightarrow f_{1}(x)## and ##g_{2}(-x) \leftrightarrow g_{1}(x)## will do the trick and we would be done.
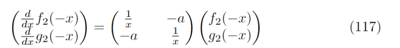
However, I tried making the change of variables ##y=-x## in equation (117) and got the following:
1662437510678.png

which is now the same form as equation (118).
Suddenly, it seems like the solution is now ##f_{2}(y) = f_{2}(-x) \leftrightarrow f_{1}(x)## and ##g_{2}(y) = g_{2}(-x) \leftrightarrow g_{1}(x)##
and I am left with a contradiction. Could someone point out to me where the mistake is? I feel like it is something simple that I am not seeing.
Thanks!
 
Physics news on Phys.org
thatboi said:
Hey all,
I am currently struggling with a change of variables step in my calculations.
Suppose the solutions ##f_{1}(x)## and ##f_{2}(x)## of the following system of differential equations is known:
View attachment 313838
Now the system I wish to solve is:
View attachment 313839
Upon first glance, it seems that the association ##f_{2}(-x) \leftrightarrow f_{1}(x)## and ##g_{2}(-x) \leftrightarrow g_{1}(x)## will do the trick and we would be done.
However, I tried making the change of variables ##y=-x## in equation (117) and got the following:
View attachment 313840
which is now the same form as equation (118).
Suddenly, it seems like the solution is now ##f_{2}(y) = f_{2}(-x) \leftrightarrow f_{1}(x)## and ##g_{2}(y) = g_{2}(-x) \leftrightarrow g_{1}(x)##
and I am left with a contradiction. Could someone point out to me where the mistake is? I feel like it is something simple that I am not seeing.
Thanks!
Sorry there was a typo here, the second sentence above should have said "Suppose the solutions ##f_{1}(x)## and ##g_{1}(x)## off the following system of differential equations is known..."
 
thatboi said:
Hey all,
I am currently struggling with a change of variables step in my calculations.
Suppose the solutions ##f_{1}(x)## and ##f_{2}(x)## of the following system of differential equations is known:
View attachment 313838
Now the system I wish to solve is:
View attachment 313839
Upon first glance, it seems that the association ##f_{2}(-x) \leftrightarrow f_{1}(x)## and ##g_{2}(-x) \leftrightarrow g_{1}(x)## will do the trick and we would be done.
However, I tried making the change of variables ##y=-x## in equation (117) and got the following:
View attachment 313840
which is now the same form as equation (118).
Suddenly, it seems like the solution is now ##f_{2}(y) = f_{2}(-x) \leftrightarrow f_{1}(x)## and ##g_{2}(y) = g_{2}(-x) \leftrightarrow g_{1}(x)##
and I am left with a contradiction. Could someone point out to me where the mistake is? I feel like it is something simple that I am not seeing.
Thanks!
Where's the contradiction?
 
These functions depend on the parameter [itex]a[/itex]; suppressing that dependence may lead you astray.

If we define [itex]f_3(x;a) = f_2(-x;a)[/itex] then (117) becomes [tex] \begin{pmatrix} \frac{d}{dx}f_3(x;a) \\\frac{d}{dx}g_3(x;a)\end{pmatrix} <br /> = \begin{pmatrix} 1/x & -a \\ -a & 1/x\end{pmatrix} \begin{pmatrix} f_3(x;a) \\ g_3(x;a) \end{pmatrix}.[/tex] It is then obvious that this is the same as (118) with [itex]a[/itex] replaced by [itex]-a[/itex]. So [tex] f_2(-x;a) = f_3(x;a) = f_1(x;-a).[/tex]
 
PeroK said:
Where's the contradiction?
Sorry there was another typo in my post, it should say "Upon first glance, it seems the association ##f_{2}(-x) \leftrightarrow f_{1}(x)## and ##g_{2}(-x) \leftrightarrow -g_{1}(x)## will do the trick..."
So there is a missing negative sign for ##g_{2}(-x)## between the 2 associations.
 
Last edited:
thatboi said:
Sorry there was another typo in my post, it should say "Upon first glance, it seems the association ##f_{2}(-x) \leftrightarrow f_{1}(x)## and ##g_{2}(-x) \leftrightarrow -g_{1}(-x)## will do the trick..."
So there is a missing negative sign for ##g_{2}(-x)## between the 2 associations.
I'm not sure what you mean by these "associations". You're looking an equation, such as ##f_2(x) = f_1(x)## or ##f_2(x) = -f_1(x)## or something like that.
 
PeroK said:
I'm not sure what you mean by these "associations". You're looking an equation, such as ##f_2(x) = f_1(x)## or ##f_2(x) = -f_1(x)## or something like that.
Yes, by association I mean like ##f_{2}(-x)## would be the same as ##f_{1}(x)## in form but just with ##x## swapped for ##-x## and ##g_{2}(-x) = -g_{1}(x)##
 
thatboi said:
Yes, by association I mean like ##f_{2}(-x)## would be the same as ##f_{1}(x)## in form but just with ##x## swapped for ##-x## and ##g_{2}(-x) = -g_{1}(x)##
I don't know what that means. Note that ##x## and ##y## are dummy variables. They have no intrinsic meaning, other than as arguments for your functions.
 
For example, if we have ##f(-x) = -x##, then that is equivalent to ##f(x) = x##. Draw the graphs if you need to. It's the same function.
 
  • #10
PeroK said:
For example, if we have ##f(-x) = -x##, then that is equivalent to ##f(x) = x##. Draw the graphs if you need to. It's the same function.
I don't quite understand. So the situation was, if I knew the solutions ##f_{1}(x)## and ##g_{1}(x)## to the system in equation (118) and now I have a separate system equation (117) that I wish to find the solutions to. Then I can notice that because (118) and (117) have the same forms, the solution to equation (117) is just ##f_{2}(-x) = f_{1}(x)## and ##g_{2}(-x) = -g_{1}(x)##, that is, I can write the solution to (117) in terms of solutions to (118). But once I made a change of variables to change equation (117) to (119) and I try to write the solution to equation (119) in terms of the solution to equation (118), I end up with a different set of solutions.
 
  • #11
thatboi said:
I don't quite understand. So the situation was, if I knew the solutions ##f_{1}(x)## and ##g_{1}(x)## to the system in equation (118) and now I have a separate system equation (117) that I wish to find the solutions to. Then I can notice that because (118) and (117) have the same forms, the solution to equation (117) is just ##f_{2}(-x) = f_{1}(x)## and ##g_{2}(-x) = -g_{1}(x)##, that is, I can write the solution to (117) in terms of solutions to (118). But once I made a change of variables to change equation (117) to (119) and I try to write the solution to equation (119) in terms of the solution to equation (118), I end up with a different set of solutions.
You have to do a correct change of variable. That means changing the derivative approriately. For example,$$\frac d {dx}f(-x) = -x$$is not the same as $$\frac d {dx}f(x) = x$$
 
  • #12
PeroK said:
You have to do a correct change of variable. That means changing the derivative approriately. For example,$$\frac d {dx}f(-x) = -x$$is not the same as $$\frac d {dx}f(x) = x$$
Right, I thought there might be a mistake in my chain rule somewhere for (119), but if I write everything in terms of ##y=-x##, is it not ##\frac{d}{dx}f(-x) = \frac{dy}{dx}\frac{d}{dy}f(y) = -\frac{d}{dy}f(y)##, which is what I had in (119) already?
 
  • #13
thatboi said:
Right, I thought there might be a mistake in my chain rule somewhere for (119), but if I write everything in terms of ##y=-x##, is it not ##\frac{d}{dx}f(-x) = \frac{dy}{dx}\frac{d}{dy}f(y) = -\frac{d}{dy}f(y)##, which is what I had in (119) already?
Yes.
thatboi said:
Upon first glance, it seems that the association ##f_{2}(-x) \leftrightarrow f_{1}(x)## and ##g_{2}(-x) \leftrightarrow g_{1}(x)## will do the trick and we would be done.
If you mean ##f_{2}(-x) = f_{1}(x)##, then that is not right.
thatboi said:
However, I tried making the change of variables ##y=-x## in equation (117) and got the following:
View attachment 313840
which is now the same form as equation (118).
Yes. It's the same system of equations.
thatboi said:
Suddenly, it seems like the solution is now ##f_{2}(y) = f_{2}(-x) \leftrightarrow f_{1}(x)## and ##g_{2}(y) = g_{2}(-x) \leftrightarrow g_{1}(x)##
Now you are confusing yourself with trying to reconcile the dummy variables ##x## and ##y## and these "associations".
 
  • #14
PeroK said:
Yes.

If you mean ##f_{2}(-x) = f_{1}(x)##, then that is not right.

Yes. It's the same system of equations.

Now you are confusing yourself with trying to reconcile the dummy variables ##x## and ##y## and these "associations".
Sorry, I believe ##f_{2}(-x) = f_{1}(x)## and ##g_{2}(-x) = -g_{1}(x)## should be the correct solution.
That being said, if I were to work with the ##y## variables system, since they are the same form as (118), I could take the solution to (118), which we already know and swap out the ##x## variable for ##y## right, since these are just dummy variables anyway. Then in the final step could I not plug back my original transformation ##y=-x##?
 
  • #15
thatboi said:
Sorry, I believe ##f_{2}(-x) = f_{1}(x)## and ##g_{2}(-x) = -g_{1}(x)## should be the correct solution.
That's not right. Let's take an example that we can explicitly solve:
$$\frac d{dx} f_1(x) = af_1(x)$$Has a solution ##f_1(x) = e^{ax}##.

Now, take:
$$\frac d{dx} f_2(-x) = -af_2(-x)$$This also has the same solution ##f_2(x) = e^{ax}##

We can check this:
$$\frac d{dx} f_2(-x) = \frac d{dx}e^{-ax} = -ae^{-ax} = -af_2(-x)$$We can also see that your proposed solution: ##f_2(-x) = f_1(x) = e^{ax}## is not correct:
$$\frac d{dx} f_2(-x) = \frac d{dx}e^{ax} = ae^{ax} = af_2(-x)$$
 
Last edited:
  • #16
PS I suspect the root of your problem may be that you don't understand the concept of a dummy variable and you are unable to express an equation for ##f_2(x)##. Instead, you are fixed on ##-x## as your dummy variable for ##f_2##. For example. If we have:
$$f(-x) = -2x + 1$$then we can immediately write down:
$$f(x) = 2x + 1$$
 

Similar threads

  • · Replies 14 ·
Replies
14
Views
2K
  • · Replies 3 ·
Replies
3
Views
8K
  • · Replies 2 ·
Replies
2
Views
4K
  • · Replies 71 ·
3
Replies
71
Views
4K
  • · Replies 1 ·
Replies
1
Views
2K
  • · Replies 1 ·
Replies
1
Views
2K
  • · Replies 1 ·
Replies
1
Views
3K
  • · Replies 3 ·
Replies
3
Views
3K
  • · Replies 5 ·
Replies
5
Views
3K
  • · Replies 3 ·
Replies
3
Views
798