Rationalizing the numerator with limits

  • Thread starter Thread starter robertjford80
  • Start date Start date
  • Tags Tags
    Limits
Click For Summary
SUMMARY

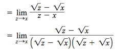
The discussion focuses on the mathematical technique of factoring in the context of rationalizing expressions involving limits. Specifically, the user clarifies that the operation performed is not rationalizing the numerator or denominator but rather factoring, as demonstrated by the equation z-x=(sqrt(z)-sqrt(x))*(sqrt(z)+sqrt(x)). The user confirms that this method is valid under the condition that both z and x are nonnegative, ensuring the numerator remains well-defined. The discussion emphasizes the importance of understanding these foundational concepts in algebraic manipulation.

PREREQUISITES
  • Understanding of algebraic expressions and limits
  • Knowledge of factoring techniques in algebra
  • Familiarity with square roots and their properties
  • Basic comprehension of the FOIL method for binomials
NEXT STEPS
  • Study the principles of algebraic factoring in depth
  • Learn about the properties of limits in calculus
  • Explore the FOIL method and its applications in polynomial multiplication
  • Investigate the implications of nonnegative values in algebraic expressions
USEFUL FOR

Students studying algebra, mathematics educators, and anyone seeking to improve their understanding of limits and algebraic manipulation techniques.

robertjford80
Messages
388
Reaction score
0

Homework Statement



Screenshot2012-05-22at123618AM.png




The Attempt at a Solution



I don't see how the above step is legal. I plugged in 4 for z and 9 for z and it works, but what is this move called? it's neither rationalizing the numerator nor rationalizing the denominator.
 
Physics news on Phys.org
It's called factoring. z-x=(sqrt(z)-sqrt(x))*(sqrt(z)+sqrt(x)). It should work ok as long as z and x are nonnegative. I think you can assume that because otherwise your numerator isn't very well defined.
 
FOIL the denominator in the second step and you'll get back what you started with.
 

Similar threads

Replies
2
Views
1K
  • · Replies 2 ·
Replies
2
Views
2K
  • · Replies 7 ·
Replies
7
Views
3K
  • · Replies 1 ·
Replies
1
Views
2K
  • · Replies 18 ·
Replies
18
Views
6K
  • · Replies 6 ·
Replies
6
Views
2K
  • · Replies 9 ·
Replies
9
Views
4K
  • · Replies 5 ·
Replies
5
Views
2K
  • · Replies 7 ·
Replies
7
Views
2K
Replies
2
Views
2K