Relativistic motion of an electron in a uniform electric field

Click For Summary
SUMMARY

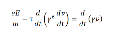
The discussion focuses on the relativistic motion of an electron in a uniform electric field, specifically analyzing the relationship between force, acceleration, and relativistic effects. The equation F = qE = ma = dp/dt is referenced, with the proper acceleration expressed as a = F/mγ³, where γ is the Lorentz factor dependent on the electron's velocity. The participant expresses uncertainty regarding the absence of the constant τ in the equation, indicating a need for clarification on its role in relativistic dynamics.

PREREQUISITES
  • Understanding of relativistic mechanics
  • Familiarity with the Lorentz factor (γ)
  • Knowledge of electric fields and forces (F = qE)
  • Basic principles of calculus (differential equations)
NEXT STEPS
  • Study the derivation of the Lorentz factor (γ) in relativistic physics
  • Explore the concept of proper acceleration in relativistic contexts
  • Investigate the role of the constant τ in relativistic equations
  • Learn about the implications of relativistic effects on charged particles in electric fields
USEFUL FOR

Physics students, researchers in electromagnetism, and anyone studying the dynamics of charged particles in electric fields will benefit from this discussion.

Natchanon
Messages
31
Reaction score
3
Homework Statement
Solve for velocity and position as a function of time
Relevant Equations
attached in the .png file, where electric field E and tau are constants.
dv/dt is the acceleration, so I thought I could find the acceleration from F = qE = ma = dp/dt. But this is a relativistic case, so the proper acceleration is a = F/mγ3, where v in the gamma is the v of the electron and F = eE. However, I'm not sure if this is correct, because the constant τ doesn't appear anywhere on the right side.
 

Attachments

  • diffeq.PNG
    diffeq.PNG
    2.7 KB · Views: 249
Physics news on Phys.org
Please post full question and show your attempt
 

Similar threads

  • · Replies 11 ·
Replies
11
Views
3K
Replies
25
Views
2K
Replies
8
Views
2K
  • · Replies 25 ·
Replies
25
Views
6K
Replies
2
Views
1K
Replies
1
Views
2K
  • · Replies 42 ·
2
Replies
42
Views
6K
  • · Replies 7 ·
Replies
7
Views
2K
Replies
10
Views
2K
  • · Replies 3 ·
Replies
3
Views
2K