Second moment of occupation number for bosons

Click For Summary
SUMMARY

The discussion focuses on the calculation of the second moment of the occupation number for bosons, specifically addressing the equality of the variance of the occupation number, represented as $$\Delta n^2 = \langle n^2 \rangle - \langle n \rangle^2$$. The grand-canonical partition function is defined as $$Z(\beta,\alpha)=\prod_{\vec{p}} \frac{1}{1-\exp(-\beta \omega_{\vec{p}}+\alpha)}$$, leading to the expression for the average occupation number $$\langle n \rangle=\sum_{\vec{p}} f_{\text{B}}(\omega_{\vec{p}})$$. The second derivative of the logarithm of the partition function is shown to yield the variance, confirming the relationship $$\Delta n^2 = \partial_{\alpha}^2 \ln Z$$.

PREREQUISITES
  • Understanding of grand-canonical ensemble statistical mechanics
  • Familiarity with bosonic distribution functions, specifically Bose-Einstein statistics
  • Knowledge of partition functions in quantum statistical mechanics
  • Proficiency in calculus, particularly differentiation of functions
NEXT STEPS
  • Study the derivation of the grand-canonical partition function in detail
  • Learn about Bose-Einstein statistics and its applications in quantum mechanics
  • Explore the implications of the second moment of occupation numbers in quantum field theory
  • Investigate the relationship between fluctuations and thermodynamic quantities in statistical mechanics
USEFUL FOR

Physicists, particularly those specializing in statistical mechanics and quantum field theory, as well as students and researchers interested in the properties of bosonic systems and their statistical behavior.

Rayan
Messages
17
Reaction score
1
Homework Statement
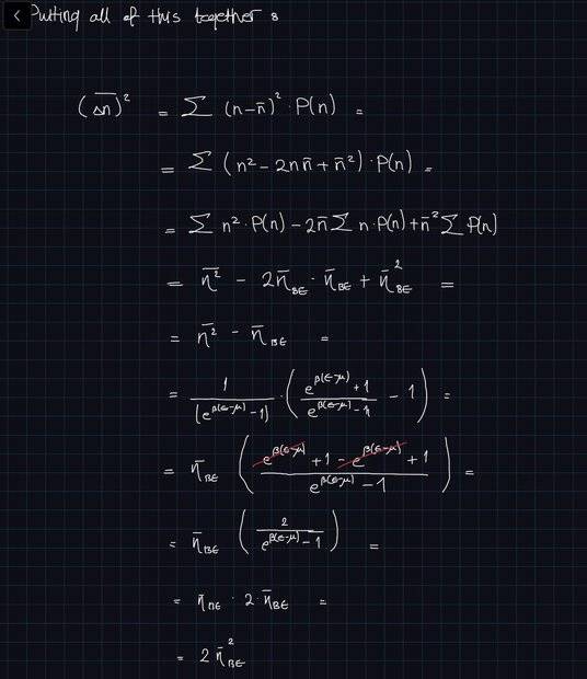
Show that for bosons

$$ \overline{(\Delta \eta)^2} \quad=\quad \overline{ \eta_{BE}} (1 + \overline{ \eta_{BE}} ) $$

where

$$ (\Delta \eta) \quad=\quad \eta - \overline{ \eta } $$
Relevant Equations
.
I tried to show this equality by explicitly determining what

$$ \overline{(\Delta \eta)^2} $$

is, but I got a totally different answer for some reason, here is my attempt to solve it, what did I miss?
 

Attachments

  • 371510642_1050809685950100_2988414984252800225_n.jpg
    371510642_1050809685950100_2988414984252800225_n.jpg
    39.3 KB · Views: 122
  • 371454039_6815803335169365_3878807093405375546_n.jpg
    371454039_6815803335169365_3878807093405375546_n.jpg
    36.4 KB · Views: 111
Last edited:
Physics news on Phys.org
Note that
$$\Delta n^2 = \overline{n^2}-\overline{n}^2=\langle n^2 \rangle - \langle n \rangle^2.$$
Then indeed you have in the grand-canonical ensemble
$$Z(\beta,\alpha)=\prod_{\vec{p}} \sum_{n=0}^{\infty} \exp[n (-\beta \omega_{\vec{p}}+\alpha)] = \prod_{\vec{p}} \frac{1}{1-\exp(-\beta \omega_{\vec{p}}+\alpha)}.$$
It's easier to work with
$$\Omega=\ln Z=-\sum_{\vec{p}} \ln [ 1-\exp(-\beta \omega_{\vec{p}}+\alpha)].$$
Now
$$\langle n \rangle=\frac{1}{Z} \partial_{\alpha} Z =\partial_{\alpha} \ln Z=\sum_{\vec{p}} f_{\text{B}}(\omega_{\vec{p}})=\sum{\vec{p}} \frac{1}{\exp(\beta \epsilon-\alpha)}.$$
Further you have
$$\partial_\alpha^2 \Omega =\partial_{\alpha} \left ( \frac{1}{Z} \partial_{\alpha Z} \right) =\frac{1}{Z} \partial_{\alpha}^2 Z -\left (\frac{1}{Z} \partial_{\alpha} Z \right)=\langle n^2 \rangle -\langle n \rangle^2=\Delta n^2.$$
Then you get
$$\Delta n^2 = \partial_{\alpha}^2 \ln Z=\sum_{\vec{p}} \partial_{\alpha} f_{\text{B}}(\omega_{\vec{p}}).$$
It's easy to check, that this gives what you try to prove.
 

Similar threads

  • · Replies 1 ·
Replies
1
Views
2K
  • · Replies 1 ·
Replies
1
Views
2K
  • · Replies 9 ·
Replies
9
Views
2K
  • · Replies 11 ·
Replies
11
Views
4K
  • · Replies 5 ·
Replies
5
Views
3K
  • · Replies 3 ·
Replies
3
Views
2K
  • · Replies 1 ·
Replies
1
Views
2K
  • · Replies 8 ·
Replies
8
Views
3K
  • · Replies 7 ·
Replies
7
Views
4K
  • · Replies 3 ·
Replies
3
Views
4K